



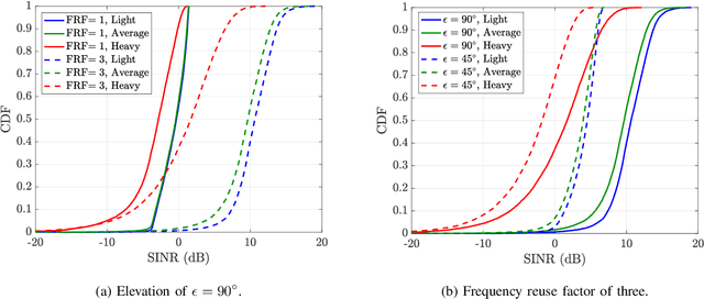
The extension of wide area wireless connectivity to low-earth orbit (LEO) satellite communication systems demands a fresh look at the effects of in-orbit base stations, sky-to-ground propagation, and cell planning. A multi-beam LEO satellite delivers widespread coverage by forming multiple spot beams that tessellate cells over a given region on the surface of the Earth. In doing so, overlapping spot beams introduce interference when delivering downlink concurrently in the same area using the same frequency spectrum. To permit forecasting of communication system performance, we characterize desired and interference signal powers, along with SNR, INR, SIR, and SINR, under the measurement-backed Shadowed Rician (SR) sky-to-ground channel model. We introduce a minor approximation to the fading order of SR channels that greatly simplifies the PDF and CDF of these quantities and facilitates statistical analyses of LEO satellite systems such as probability of outage. We conclude this paper with an evaluation of multi-beam LEO satellite communication in SR channels of varying intensity fitted from existing measurements. Our numerical results highlight the effects satellite elevation angle has on SNR, INR, and SINR, which brings attention to the variability in system state and potential performance as a satellite traverses across the sky along its orbit.