Abstract:Reconfigurable Intelligent Surfaces (RISs) offer a promising means of reshaping the wireless propagation environment, yet practical methods for configuring large passive arrays to achieve reliable signal equalization remain limited. Equalization is essential in wideband links to counteract multipath-induced pulse distortion that otherwise degrades symbol recovery. This work investigates RIS-assisted pulse response equalization and signal boosting using both classical adaptive filtering and model-free deep reinforcement learning (DRL). We develop a steepest descent (SD) method that exploits cascaded BS-RIS-UE channel information to configure RIS coefficients for multipath mitigation and SNR enhancement, and we show that the tradeoffs between SD and DRL primarily arise from the extensive channel estimation required for accurate equalization with passive RIS hardware. Unlike traditional adaptive filtering, which updates delayed filter coefficients after signal reception, our approach uses the RIS positioned within the cascaded channel to perform equalization without delay elements, prior to reception at the UE. In this framework, the channel is estimated before equalization, forming the basis of what we term adaptive RIS equalization (ARISE). To overcome the reliance on channel estimation required for ARISE, we explore several DRL algorithms -- DDPG, TD3, and SAC -- that optimize RIS coefficients directly from the received pulse response without explicit channel estimation. Through extensive simulations across diverse channel conditions and RIS sizes, we show that SAC achieves fast, stable convergence and equalization performance comparable to ARISE while offering significantly lower implementation complexity. These results highlight the potential of DRL as a practical and scalable solution for real-time RIS control in future wireless systems.
Abstract:Reconfigurable intelligent surfaces (RISs), an emerging technology proposed for inclusion in next generation wireless communication systems, are programmable surfaces that can adaptively reflect incident electromagnetic radiation in different desired directions. To reduce the complexity and physical profile of conventional RIS designs, a novel concept known as Wave-Controlled RIS has been proposed, in which standing waves along a transmission line are used to generate the required dc bias for reflective control. This paper shows the design of such a Wave-Controlled RIS and its biasing transmission line. The effectiveness of this approach in generating the correct dc bias from a single standing wave frequency is analyzed through both theoretical modeling and experimental validation, which uncovered a dependence on impedance matching not accounted for by the theory. Additionally, the potential for reflective control using only a single standing wave frequency on the biasing transmission line is explored, demonstrating the ability of single-beam steering toward angles near broadside.




Abstract:This paper addresses the problem of maximizing the received power at a user equipment via reconfigurable intelligent surface (RIS) characterized by phase-dependent amplitude (PDA) and discrete phase shifts over a limited phase range. Given complex RIS coefficients, that is, discrete phase shifts and PDAs, we derive the necessary and sufficient conditions to achieve the optimal solution. To this end, we propose an optimal search algorithm that is proven to converge in linear time within at most NK steps, significantly outperforming the exhaustive search approach that would otherwise be needed for RISs with amplitude attenuation. Furthermore, we introduce a practical quantization framework for PDA-introduced RISs termed amplitude-introduced polar quantization (APQ), and extend it to a novel algorithm named extended amplitude-introduced polar quantization (EAPQ) that works with geometric projections. We derive closed-form expressions to assess how closely the performance of the proposed RIS configuration can approximate the ideal case with continuous phases and no attenuation. Our analysis reveals that increasing the number of discrete phases beyond K = 4 yields only marginal gains, regardless of attenuation levels, provided the RIS has a sufficiently wide phase range R. Furthermore, we also show and quantify that when the phase range R is limited, the performance is sensitive to attenuation for larger R, and sensitive to R when there is less attenuation. Finally, the proposed optimal algorithm provides a generic upper bound that could serve as a benchmark for discrete beamforming in RISs with amplitude constraints.




Abstract:A promising type of Reconfigurable Intelligent Surface (RIS) employs tunable control of its varactors using biasing transmission lines below the RIS reflecting elements. Biasing standing waves (BSWs) are excited by a time-periodic signal and sampled at each RIS element to create a desired biasing voltage and control the reflection coefficients of the elements. A simple rectifier can be used to sample the voltages and capture the peaks of the BSWs over time. Like other types of RIS, attempting to model and accurately configure a wave-controlled RIS is extremely challenging due to factors such as device non-linearities, frequency dependence, element coupling, etc., and thus significant differences will arise between the actual and assumed performance. An alternative approach to solving this problem is data-driven: Using training data obtained by sampling the reflected radiation pattern of the RIS for a set of BSWs, a neural network (NN) is designed to create an input-output map between the BSW amplitudes and the resulting sampled radiation pattern. This is the approach discussed in this paper. In the proposed approach, the NN is optimized using a genetic algorithm (GA) to minimize the error between the predicted and measured radiation patterns. The BSW amplitudes are then designed via Simulated Annealing (SA) to optimize a signal-to-leakage-plus-noise ratio measure by iteratively forward-propagating the BSW amplitudes through the NN and using its output as feedback to determine convergence. The resulting optimal solutions are stored in a lookup table to be used both as settings to instantly configure the RIS and as a basis for determining more complex radiation patterns.




Abstract:Deep learning (DL) finds rich applications in the wireless domain to improve spectrum awareness. Typically, the DL models are either randomly initialized following a statistical distribution or pretrained on tasks from other data domains such as computer vision (in the form of transfer learning) without accounting for the unique characteristics of wireless signals. Self-supervised learning enables the learning of useful representations from Radio Frequency (RF) signals themselves even when only limited training data samples with labels are available. We present the first self-supervised RF signal representation learning model and apply it to the automatic modulation recognition (AMR) task by specifically formulating a set of transformations to capture the wireless signal characteristics. We show that the sample efficiency (the number of labeled samples required to achieve a certain accuracy performance) of AMR can be significantly increased (almost an order of magnitude) by learning signal representations with self-supervised learning. This translates to substantial time and cost savings. Furthermore, self-supervised learning increases the model accuracy compared to the state-of-the-art DL methods and maintains high accuracy even when a small set of training data samples is used.




Abstract:This paper discusses a special kind of a simple yet possibly powerful algorithm, called single-kernel Gradraker (SKG), which is an adaptive learning method predicting unknown nodal values in a network using known nodal values and the network structure. We aim to find out how to configure the special kind of the model in applying the algorithm. To be more specific, we focus on SKG with a Gaussian kernel and specify how to find a suitable variance for the kernel. To do so, we introduce two variables with which we are able to set up requirements on the variance of the Gaussian kernel to achieve (near-) optimal performance and can better understand how SKG works. Our contribution is that we introduce two variables as analysis tools, illustrate how predictions will be affected under different Gaussian kernels, and provide an algorithm finding a suitable Gaussian kernel for SKG with knowledge about the training network. Simulation results on real datasets are provided.




Abstract:Generative Adversarial Networks (GANs) are Machine Learning (ML) algorithms that have the ability to address competitive resource allocation problems together with detection and mitigation of anomalous behavior. In this paper, we investigate their use in next-generation (NextG) communications within the context of cognitive networks to address i) spectrum sharing, ii) detecting anomalies, and iii) mitigating security attacks. GANs have the following advantages. First, they can learn and synthesize field data, which can be costly, time consuming, and nonrepeatable. Second, they enable pre-training classifiers by using semi-supervised data. Third, they facilitate increased resolution. Fourth, they enable the recovery of corrupted bits in the spectrum. The paper provides the basics of GANs, a comparative discussion on different kinds of GANs, performance measures for GANs in computer vision and image processing as well as wireless applications, a number of datasets for wireless applications, performance measures for general classifiers, a survey of the literature on GANs for i)-iii) above, and future research directions. As a use case of GAN for NextG communications, we show that a GAN can be effectively applied for anomaly detection in signal classification (e.g., user authentication) outperforming another state-of-the-art ML technique such as an autoencoder.




Abstract:Reconfigurable Intelligent Surfaces (RISs) are programmable metasurfaces that can adaptively steer received electromagnetic energy in desired directions by employing controllable phase shifting cells. Among other uses, an RIS can modify the propagation environment in order to provide wireless access to user locations that are not otherwise reachable by a base station. Alternatively, an RIS can steer the waves away from particular locations in space, to eliminate interference and allow for co-existence of the wireless network with other types of fixed wireless services (e.g., radars, unlicensed radio bands, etc.). The novel approach in this work is a wave-controlled architecture that properly accounts for the maximum possible change in the local reflection phase that can be achieved by adjacent RIS elements. It obviates the need for dense wiring and signal paths that would be required for individual control of every RIS element, and thus offers a substantial reduction in the required hardware. We specify this wave-controlled RIS architecture in detail and discuss signal processing and machine learning methods that exploit it in both point-to-point and multicell MIMO systems. Such implementations can lead to a dramatic improvement in next-generation wireless, radar, and navigation systems where RIS finds wide applications. They have the potential to improve the efficiency of spectrum utilization and coexistence by orders of magnitude.




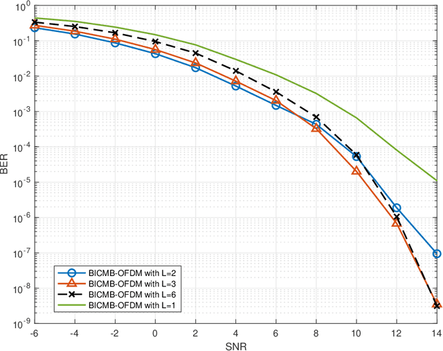
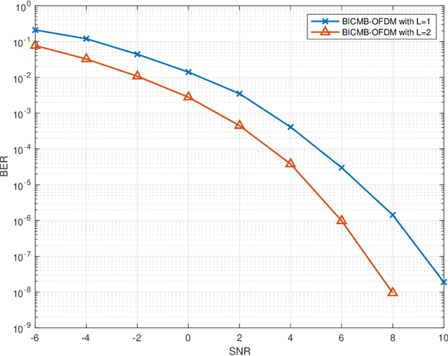
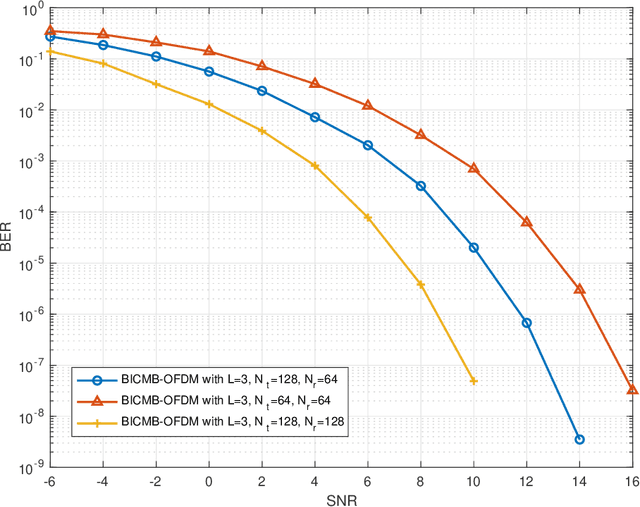
Abstract:We analyze the diversity gain for a distributed antenna subarray employing orthogonal frequency-division multiplexing (OFDM) in millimeter-wave (mm-Wave) massive multiple-input multiple-output (MIMO) systems. We show that the diversity gain depends on the number of transmitted data streams, the number of remote antenna units, and the number of propagation paths between RAUs. Furthermore, we show that by using bit-interleaved coded multiple beamforming (BICMB), one can achieve the maximum diversity gain in a distributed antenna subarray system. The assumption in both scenarios is that the number of the antennas at the transmitter and the receiver are large enough and channel state information (CSI) is known at the transmitter and the receiver.