



Abstract:This paper presents a Digital Twin (DT) of a 6G communications system testbed that integrates two robotic manipulators with a high-precision optical infrared tracking system in Unreal Engine 5. Practical details of the setup and implementation insights provide valuable guidance for users aiming to replicate such systems, an endeavor that is crucial to advancing DT applications within the scientific community. Key topics discussed include video streaming, integration within the Robot Operating System 2 (ROS 2), and bidirectional communication. The insights provided are intended to support the development and deployment of DTs in robotics and automation research.




Abstract:With the advent of 6G technology, the demand for efficient and intelligent systems in industrial applications has surged, driving the need for advanced solutions in target localization. Utilizing swarm robots to locate unknown targets involves navigating increasingly complex environments. Digital Twinning (DT) offers a robust solution by creating a virtual replica of the physical world, which enhances the swarm's navigation capabilities. Our framework leverages DT and integrates Swarm Intelligence to store physical map information in the cloud, enabling robots to efficiently locate unknown targets. The simulation results demonstrate that the DT framework, augmented by Swarm Intelligence, significantly improves target location efficiency in obstacle-rich environments compared to traditional methods. This research underscores the potential of combining DT and Swarm Intelligence to advance the field of robotic navigation and target localization in complex industrial settings.




Abstract:Enabled by the emerging industrial agent (IA) technology, swarm intelligence (SI) is envisaged to play an important role in future industrial Internet of Things (IIoT) that is shaped by Sixth Generation (6G) mobile communications and digital twin (DT). However, its fragility against data injection attack may halt it from practical deployment. In this paper we propose an efficient trust approach to address this security concern for SI.




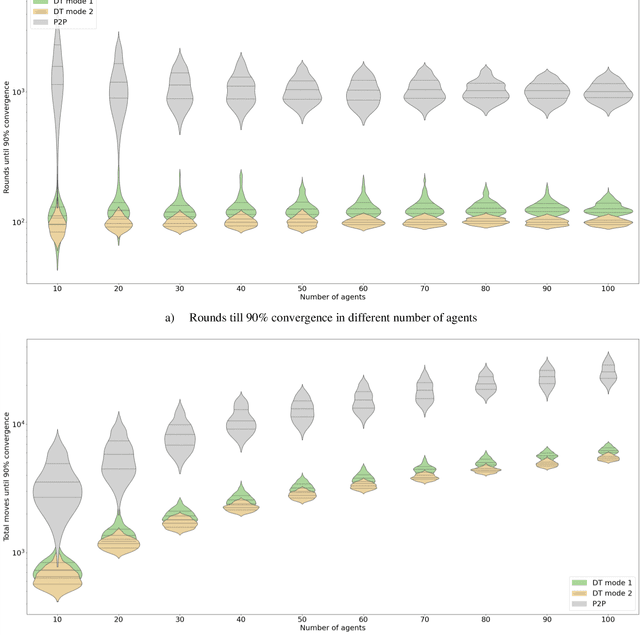
Abstract:Future Industrial Internet-of-Things in the upcoming 6G era is expected to deploy artificial intelligence (AI) and digital twins (DTs) ubiquitously. As a complement to conventional AI solutions, emergent intelligence (EI) exhibits various outstanding features including robustness, protection to privacy, and scalability, which makes it competitive for 6G IIoT applications. However, despite its low computational complexity, it is challenged by its high demand of data traffic in massive deployment. In this paper, we propose to exploit the massive twinning paradigm, which 6G is envisaged to support, to reduce the data traffic in EI and therewith enhance its performance.