



Abstract:There is an increasing interest in analyzing the behavior of machine learning systems against adversarial attacks. However, most of the research in adversarial machine learning has focused on studying weaknesses against evasion or poisoning attacks to predictive models in classical setups, with the susceptibility of Bayesian predictive models to attacks remaining underexplored. This paper introduces a general methodology for designing optimal evasion attacks against such models. We investigate two adversarial objectives: perturbing specific point predictions and altering the entire posterior predictive distribution. For both scenarios, we propose novel gradient-based attacks and study their implementation and properties in various computational setups.




Abstract:Data sharing issues pervade online social and economic environments. To foster social progress, it is important to develop models of the interaction between data producers and consumers that can promote the rise of cooperation between the involved parties. We formalize this interaction as a game, the data sharing game, based on the Iterated Prisoner's Dilemma and deal with it through multi-agent reinforcement learning techniques. We consider several strategies for how the citizens may behave, depending on the degree of centralization sought. Simulations suggest mechanisms for cooperation to take place and, thus, achieve maximum social utility: data consumers should perform some kind of opponent modeling, or a regulator should transfer utility between both players and incentivise them.



Abstract:Risk assessment is a major challenge for supply chain managers, as it potentially affects business factors such as service costs, supplier competition and customer expectations. The increasing interconnectivity between organisations has put into focus methods for supply chain cyber risk management. We introduce a general approach to support such activity taking into account various techniques of attacking an organisation and its suppliers, as well as the impacts of such attacks. Since data is lacking in many respects, we use structured expert judgment methods to facilitate its implementation. We couple a family of forecasting models to enrich risk monitoring. The approach may be used to set up risk alarms, negotiate service level agreements, rank suppliers and identify insurance needs, among other management possibilities.



Abstract:Stackelberg Games are gaining importance in the last years due to the raise of Adversarial Machine Learning (AML). Within this context, a new paradigm must be faced: in classical game theory, intervening agents were humans whose decisions are generally discrete and low dimensional. In AML, decisions are made by algorithms and are usually continuous and high dimensional, e.g. choosing the weights of a neural network. As closed form solutions for Stackelberg games generally do not exist, it is mandatory to have efficient algorithms to search for numerical solutions. We study two different procedures for solving this type of games using gradient methods. We study time and space scalability of both approaches and discuss in which situation it is more appropriate to use each of them. Finally, we illustrate their use in an adversarial prediction problem.




Abstract:In several reinforcement learning (RL) scenarios, mainly in security settings, there may be adversaries trying to interfere with the reward generating process. In this paper, we introduce Threatened Markov Decision Processes (TMDPs), which provide a framework to support a decision maker against a potential adversary in RL. Furthermore, we propose a level-$k$ thinking scheme resulting in a new learning framework to deal with TMDPs. After introducing our framework and deriving theoretical results, relevant empirical evidence is given via extensive experiments, showing the benefits of accounting for adversaries while the agent learns.




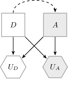
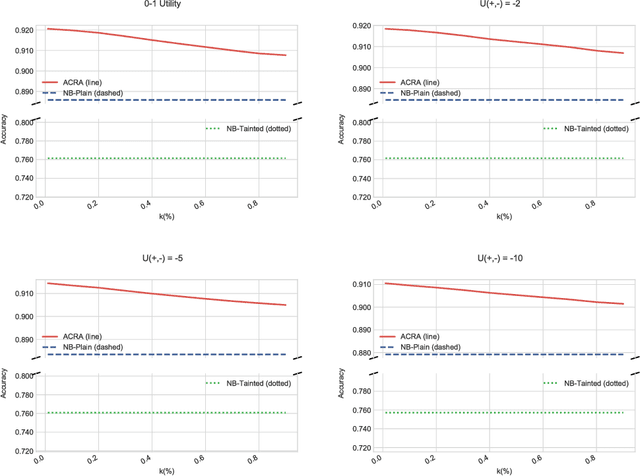
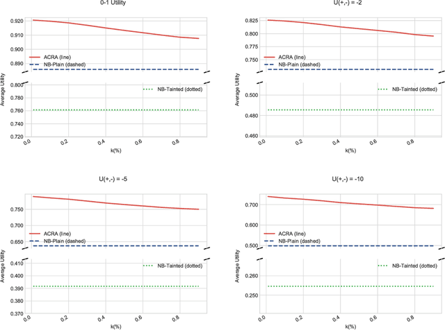
Abstract:Classification problems in security settings are usually contemplated as confrontations in which one or more adversaries try to fool a classifier to obtain a benefit. Most approaches to such adversarial classification problems have focused on game theoretical ideas with strong underlying common knowledge assumptions, which are actually not realistic in security domains. We provide an alternative framework to such problem based on adversarial risk analysis, which we illustrate with several examples. Computational and implementation issues are discussed.




Abstract:Real time large scale streaming data pose major challenges to forecasting, in particular defying the presence of human experts to perform the corresponding analysis. We present here a class of models and methods used to develop an automated, scalable and versatile system for large scale forecasting oriented towards safety and security monitoring. Our system provides short and long term forecasts and uses them to detect safety and security issues in relation with multiple internet connected devices well in advance they might take place.