



Abstract:Federated Learning is a popular paradigm that enables remote clients to jointly train a global model without sharing their raw data. However, FL has been shown to be vulnerable towards model poisoning attacks due to its distributed nature. Particularly, attackers acting as participants can upload arbitrary model updates that effectively compromise the global model of FL. While extensive research has been focusing on fighting against these attacks, we find that most of them assume data at remote clients are under iid while in practice they are inevitably non-iid. Our benchmark evaluations reveal that existing defenses generally fail to live up to their reputation when applied to various non-iid scenarios. In this paper, we propose a novel approach, GeminiGuard, that aims to address such a significant gap. We design GeminiGuard to be lightweight, versatile, and unsupervised so that it aligns well with the practical requirements of deploying such defenses. The key challenge from non-iids is that they make benign model updates look more similar to malicious ones. GeminiGuard is mainly built on two fundamental observations: (1) existing defenses based on either model-weight analysis or latent-space analysis face limitations in covering different MPAs and non-iid scenarios, and (2) model-weight and latent-space analysis are sufficiently different yet potentially complementary methods as MPA defenses. We hence incorporate a novel model-weight analysis component as well as a custom latent-space analysis component in GeminiGuard, aiming to further enhance its defense performance. We conduct extensive experiments to evaluate our defense across various settings, demonstrating its effectiveness in countering multiple types of untargeted and targeted MPAs, including adaptive ones. Our comprehensive evaluations show that GeminiGuard consistently outperforms SOTA defenses under various settings.




Abstract:Federated Learning (FL) is a popular paradigm enabling clients to jointly train a global model without sharing raw data. However, FL is known to be vulnerable towards backdoor attacks due to its distributed nature. As participants, attackers can upload model updates that effectively compromise FL. What's worse, existing defenses are mostly designed under independent-and-identically-distributed (iid) settings, hence neglecting the fundamental non-iid characteristic of FL. Here we propose FLBuff for tackling backdoor attacks even under non-iids. The main challenge for such defenses is that non-iids bring benign and malicious updates closer, hence harder to separate. FLBuff is inspired by our insight that non-iids can be modeled as omni-directional expansion in representation space while backdoor attacks as uni-directional. This leads to the key design of FLBuff, i.e., a supervised-contrastive-learning model extracting penultimate-layer representations to create a large in-between buffer layer. Comprehensive evaluations demonstrate that FLBuff consistently outperforms state-of-the-art defenses.




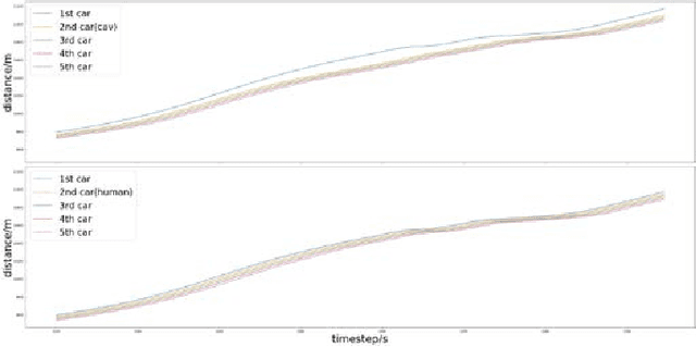
Abstract:Stop-and-go traffic poses many challenges to tranportation system, but its formation and mechanism are still under exploration.however, it has been proved that by introducing Connected Automated Vehicles(CAVs) with carefully designed controllers one could dampen the stop-and-go waves in the vehicle fleet. Instead of using analytical model, this study adopts reinforcement learning to control the behavior of CAV and put a single CAV at the 2nd position of a vehicle fleet with the purpose to dampen the speed oscillation from the fleet leader and help following human drivers adopt more smooth driving behavior. The result show that our controller could decrease the spped oscillation of the CAV by 54% and 8%-28% for those following human-driven vehicles. Significant fuel consumption savings are also observed. Additionally, the result suggest that CAVs may act as a traffic stabilizer if they choose to behave slightly altruistically.