



Abstract:Neural Algorithmic Reasoning (NAR) aims to optimize classical algorithms. However, canonical implementations of NAR train neural networks to return only a single solution, even when there are multiple correct solutions to a problem, such as single-source shortest paths. For some applications, it is desirable to recover more than one correct solution. To that end, we give the first method for NAR with multiple solutions. We demonstrate our method on two classical algorithms: Bellman-Ford (BF) and Depth-First Search (DFS), favouring deeper insight into two algorithms over a broader survey of algorithms. This method involves generating appropriate training data as well as sampling and validating solutions from model output. Each step of our method, which can serve as a framework for neural algorithmic reasoning beyond the tasks presented in this paper, might be of independent interest to the field and our results represent the first attempt at this task in the NAR literature.




Abstract:The development of artificial intelligence systems with advanced reasoning capabilities represents a persistent and long-standing research question. Traditionally, the primary strategy to address this challenge involved the adoption of symbolic approaches, where knowledge was explicitly represented by means of symbols and explicitly programmed rules. However, with the advent of machine learning, there has been a paradigm shift towards systems that can autonomously learn from data, requiring minimal human guidance. In light of this shift, in latest years, there has been increasing interest and efforts at endowing neural networks with the ability to reason, bridging the gap between data-driven learning and logical reasoning. Within this context, Neural Algorithmic Reasoning (NAR) stands out as a promising research field, aiming to integrate the structured and rule-based reasoning of algorithms with the adaptive learning capabilities of neural networks, typically by tasking neural models to mimic classical algorithms. In this dissertation, we provide theoretical and practical contributions to this area of research. We explore the connections between neural networks and tropical algebra, deriving powerful architectures that are aligned with algorithm execution. Furthermore, we discuss and show the ability of such neural reasoners to learn and manipulate complex algorithmic and combinatorial optimization concepts, such as the principle of strong duality. Finally, in our empirical efforts, we validate the real-world utility of NAR networks across different practical scenarios. This includes tasks as diverse as planning problems, large-scale edge classification tasks and the learning of polynomial-time approximate algorithms for NP-hard combinatorial problems. Through this exploration, we aim to showcase the potential integrating algorithmic reasoning in machine learning models.
Abstract:Neural Algorithmic Reasoning is an emerging area of machine learning which seeks to infuse algorithmic computation in neural networks, typically by training neural models to approximate steps of classical algorithms. In this context, much of the current work has focused on learning reachability and shortest path graph algorithms, showing that joint learning on similar algorithms is beneficial for generalisation. However, when targeting more complex problems, such similar algorithms become more difficult to find. Here, we propose to learn algorithms by exploiting duality of the underlying algorithmic problem. Many algorithms solve optimisation problems. We demonstrate that simultaneously learning the dual definition of these optimisation problems in algorithmic learning allows for better learning and qualitatively better solutions. Specifically, we exploit the max-flow min-cut theorem to simultaneously learn these two algorithms over synthetically generated graphs, demonstrating the effectiveness of the proposed approach. We then validate the real-world utility of our dual algorithmic reasoner by deploying it on a challenging brain vessel classification task, which likely depends on the vessels' flow properties. We demonstrate a clear performance gain when using our model within such a context, and empirically show that learning the max-flow and min-cut algorithms together is critical for achieving such a result.


Abstract:Path finding in graphs is one of the most studied classes of problems in computer science. In this context, search algorithms are often extended with heuristics for a more efficient search of target nodes. In this work we combine recent advancements in Neural Algorithmic Reasoning to learn efficient heuristic functions for path finding problems on graphs. At training time, we exploit multi-task learning to learn jointly the Dijkstra's algorithm and a consistent heuristic function for the A* search algorithm. At inference time, we plug our learnt heuristics into the A* algorithm. Results show that running A* over the learnt heuristics value can greatly speed up target node searching compared to Dijkstra, while still finding minimal-cost paths.




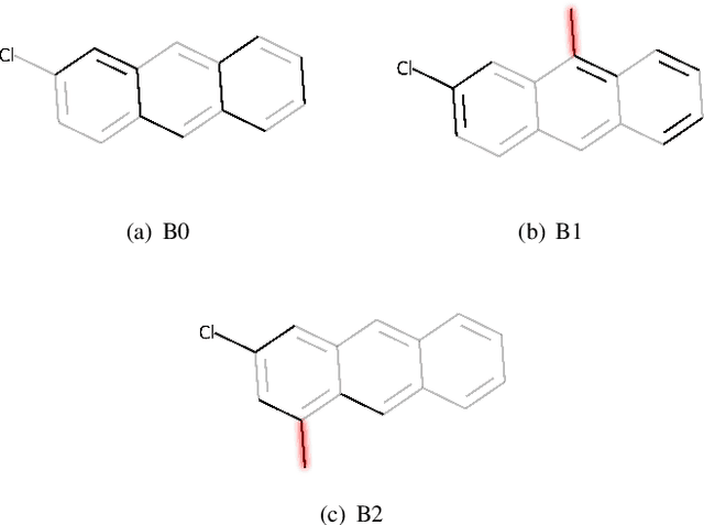
Abstract:Explainable AI (XAI) is a research area whose objective is to increase trustworthiness and to enlighten the hidden mechanism of opaque machine learning techniques. This becomes increasingly important in case such models are applied to the chemistry domain, for its potential impact on humans' health, e.g, toxicity analysis in pharmacology. In this paper, we present a novel approach to tackle explainability of deep graph networks in the context of molecule property prediction t asks, named MEG (Molecular Explanation Generator). We generate informative counterfactual explanations for a specific prediction under the form of (valid) compounds with high structural similarity and different predicted properties. Given a trained DGN, we train a reinforcement learning based generator to output counterfactual explanations. At each step, MEG feeds the current candidate counterfactual into the DGN, collects the prediction and uses it to reward the RL agent to guide the exploration. Furthermore, we restrict the action space of the agent in order to only keep actions that maintain the molecule in a valid state. We discuss the results showing how the model can convey non-ML experts with key insights into the learning model focus in the neighbourhood of a molecule.




Abstract:We present a novel approach to tackle explainability of deep graph networks in the context of molecule property prediction tasks, named MEG (Molecular Explanation Generator). We generate informative counterfactual explanations for a specific prediction under the form of (valid) compounds with high structural similarity and different predicted properties. We discuss preliminary results showing how the model can convey non-ML experts with key insights into the learning model focus in the neighborhood of a molecule.