Abstract:Artificial Intelligence (AI) systems, trained in controlled environments, often struggle in real-world complexities. We propose a general framework for estimating domain complexity across diverse environments, like open-world learning and real-world applications. This framework distinguishes between intrinsic complexity (inherent to the domain) and extrinsic complexity (dependent on the AI agent). By analyzing dimensionality, sparsity, and diversity within these categories, we offer a comprehensive view of domain challenges. This approach enables quantitative predictions of AI difficulty during environment transitions, avoids bias in novel situations, and helps navigate the vast search spaces of open-world domains.




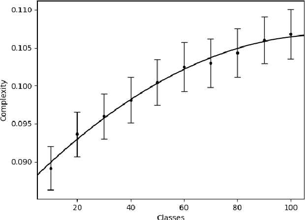
Abstract:There is currently a rapid increase in the number of challenge problem, benchmarking datasets and algorithmic optimization tests for evaluating AI systems. However, there does not currently exist an objective measure to determine the complexity between these newly created domains. This lack of cross-domain examination creates an obstacle to effectively research more general AI systems. We propose a theory for measuring the complexity between varied domains. This theory is then evaluated using approximations by a population of neural network based AI systems. The approximations are compared to other well known standards and show it meets intuitions of complexity. An application of this measure is then demonstrated to show its effectiveness as a tool in varied situations. The experimental results show this measure has promise as an effective tool for aiding in the evaluation of AI systems. We propose the future use of such a complexity metric for use in computing an AI system's intelligence.