



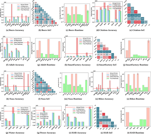
Abstract:Nowadays, machine learning (ML) plays a vital role in many aspects of our daily life. In essence, building well-performing ML applications requires the provision of high-quality data throughout the entire life-cycle of such applications. Nevertheless, most of the real-world tabular data suffer from different types of discrepancies, such as missing values, outliers, duplicates, pattern violation, and inconsistencies. Such discrepancies typically emerge while collecting, transferring, storing, and/or integrating the data. To deal with these discrepancies, numerous data cleaning methods have been introduced. However, the majority of such methods broadly overlook the requirements imposed by downstream ML models. As a result, the potential of utilizing these data cleaning methods in ML pipelines is predominantly unrevealed. In this work, we introduce a comprehensive benchmark, called REIN1, to thoroughly investigate the impact of data cleaning methods on various ML models. Through the benchmark, we provide answers to important research questions, e.g., where and whether data cleaning is a necessary step in ML pipelines. To this end, the benchmark examines 38 simple and advanced error detection and repair methods. To evaluate these methods, we utilized a wide collection of ML models trained on 14 publicly-available datasets covering different domains and encompassing realistic as well as synthetic error profiles.




Abstract:In this paper, we present our vision of differentiable ML pipelines called DiffML to automate the construction of ML pipelines in an end-to-end fashion. The idea is that DiffML allows to jointly train not just the ML model itself but also the entire pipeline including data preprocessing steps, e.g., data cleaning, feature selection, etc. Our core idea is to formulate all pipeline steps in a differentiable way such that the entire pipeline can be trained using backpropagation. However, this is a non-trivial problem and opens up many new research questions. To show the feasibility of this direction, we demonstrate initial ideas and a general principle of how typical preprocessing steps such as data cleaning, feature selection and dataset selection can be formulated as differentiable programs and jointly learned with the ML model. Moreover, we discuss a research roadmap and core challenges that have to be systematically tackled to enable fully differentiable ML pipelines.