



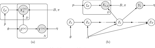
Abstract:Probabilistic models help us encode latent structures that both model the data and are ideally also useful for specific downstream tasks. Among these, mixture models and their time-series counterparts, hidden Markov models, identify discrete components in the data. In this work, we focus on a constrained capacity setting, where we want to learn a model with relatively few components (e.g. for interpretability purposes). To maintain prediction performance, we introduce prediction-focused modeling for mixtures, which automatically selects the dimensions relevant to the prediction task. Our approach identifies relevant signal from the input, outperforms models that are not prediction-focused, and is easy to optimize; we also characterize when prediction-focused modeling can be expected to work.