Abstract:Quantum computing has opened new opportunities to tackle complex machine learning tasks, for instance, high-dimensional data representations commonly required in intelligent transportation systems. We explore quantum machine learning to model complex skin conductance response (SCR) events that reflect pedestrian stress in a virtual reality road crossing experiment. For this purpose, Quantum Support Vector Machine (QSVM) with an eight-qubit ZZ feature map and a Quantum Neural Network (QNN) using a Tree Tensor Network ansatz and an eight-qubit ZZ feature map, were developed on Pennylane. The dataset consists of SCR measurements along with features such as the response amplitude and elapsed time, which have been categorized into amplitude-based classes. The QSVM achieved good training accuracy, but had an overfitting problem, showing a low test accuracy of 45% and therefore impacting the reliability of the classification model. The QNN model reached a higher test accuracy of 55%, making it a better classification model than the QSVM and the classic versions.
Abstract:We introduce a multi-modal autonomous delivery optimization framework as a coalition game for a fleet of UAVs and ADRs operating in two overlaying networks to address last-mile delivery in urban environments, including high-density areas, road-based routing, and real-world operational challenges. The problem is defined as multiple depot pickup and delivery with time windows constrained over operational restrictions, such as vehicle battery limitation, precedence time window, and building obstruction. Subsequently, the coalition game theory is applied to investigate cooperation structures among the modes to capture how strategic collaboration among vehicles can improve overall routing efficiency. To do so, a generalized reinforcement learning model is designed to evaluate the cost-sharing and allocation to different coalitions for which sub-additive property and non-empty core exist. Our methodology leverages an end-to-end deep multi-agent policy gradient method augmented by a novel spatio-temporal adjacency neighbourhood graph attention network and transformer architecture using a heterogeneous edge-enhanced attention model. Conducting several numerical experiments on last-mile delivery applications, the result from the case study in the city of Mississauga shows that despite the incorporation of an extensive network in the graph for two modes and a complex training structure, the model addresses realistic operational constraints and achieves high-quality solutions compared with the existing transformer-based and heuristics methods and can perform well on non-homogeneous data distribution, generalizes well on the different scale and configuration, and demonstrate a robust performance under stochastic scenarios subject to wind speed and direction.




Abstract:Transport policy assessment often involves causal questions, yet the causal inference capabilities of traditional travel behavioural models are at best limited. We present the deep CAusal infeRence mOdel for traveL behavIour aNAlysis (CAROLINA), a framework that explicitly models causality in travel behaviour, enhances predictive accuracy, and maintains interpretability by leveraging causal inference, deep learning, and traditional discrete choice modelling. Within this framework, we introduce a Generative Counterfactual model for forecasting human behaviour by adapting the Normalizing Flow method. Through the case studies of virtual reality-based pedestrian crossing behaviour, revealed preference travel behaviour from London, and synthetic data, we demonstrate the effectiveness of our proposed models in uncovering causal relationships, prediction accuracy, and assessing policy interventions. Our results show that intervention mechanisms that can reduce pedestrian stress levels lead to a 38.5% increase in individuals experiencing shorter waiting times. Reducing the travel distances in London results in a 47% increase in sustainable travel modes.




Abstract:Accurate traffic volume and speed prediction have a wide range of applications in transportation. It can result in useful and timely information for both travellers and transportation decision-makers. In this study, an Attention based Long Sort-Term Memory model (A-LSTM) is proposed to simultaneously predict traffic volume and speed in a critical rural road segmentation which connects Tehran to Chalus, the most tourist destination city in Iran. Moreover, this study compares the results of the A-LSTM model with the Long Short-Term Memory (LSTM) model. Both models show acceptable performance in predicting speed and flow. However, the A-LSTM model outperforms the LSTM in 5 and 15-minute intervals. In contrast, there is no meaningful difference between the two models for the 30-minute time interval. By comparing the performance of the models based on different time horizons, the 15-minute horizon model outperforms the others by reaching the lowest Mean Square Error (MSE) loss of 0.0032, followed by the 30 and 5-minutes horizons with 0.004 and 0.0051, respectively. In addition, this study compares the results of the models based on two transformations of temporal categorical input variables, one-hot or cyclic, for the 15-minute time interval. The results demonstrate that both LSTM and A-LSTM with cyclic feature encoding outperform those with one-hot feature encoding.
Abstract:Before the transition of AVs to urban roads and subsequently unprecedented changes in traffic conditions, evaluation of transportation policies and futuristic road design related to pedestrian crossing behavior is of vital importance. Recent studies analyzed the non-causal impact of various variables on pedestrian waiting time in the presence of AVs. However, we mainly investigate the causal effect of traffic density on pedestrian waiting time. We develop a Double/Debiased Machine Learning (DML) model in which the impact of confounders variable influencing both a policy and an outcome of interest is addressed, resulting in unbiased policy evaluation. Furthermore, we try to analyze the effect of traffic density by developing a copula-based joint model of two main components of pedestrian crossing behavior, pedestrian stress level and waiting time. The copula approach has been widely used in the literature, for addressing self-selection problems, which can be classified as a causality analysis in travel behavior modeling. The results obtained from copula approach and DML are compared based on the effect of traffic density. In DML model structure, the standard error term of density parameter is lower than copula approach and the confidence interval is considerably more reliable. In addition, despite the similar sign of effect, the copula approach estimates the effect of traffic density lower than DML, due to the spurious effect of confounders. In short, the DML model structure can flexibly adjust the impact of confounders by using machine learning algorithms and is more reliable for planning future policies.




Abstract:Deep generative models have become useful for synthetic data generation, particularly population synthesis. The models implicitly learn the probability distribution of a dataset and can draw samples from a distribution. Several models have been proposed, but their performance is only tested on a single cross-sectional sample. The implementation of population synthesis on single datasets is seen as a drawback that needs further studies to explore the robustness of the models on multiple datasets. While comparing with the real data can increase trust and interpretability of the models, techniques to evaluate deep generative models' robustness for population synthesis remain underexplored. In this study, we present bootstrap confidence interval for the deep generative models, an approach that computes efficient confidence intervals for mean errors predictions to evaluate the robustness of the models to multiple datasets. Specifically, we adopt the tabular-based Composite Travel Generative Adversarial Network (CTGAN) and Variational Autoencoder (VAE), to estimate the distribution of the population, by generating agents that have tabular data using several samples over time from the same study area. The models are implemented on multiple travel diaries of Montreal Origin- Destination Survey of 2008, 2013, and 2018 and compare the predictive performance under varying sample sizes from multiple surveys. Results show that the predictive errors of CTGAN have narrower confidence intervals indicating its robustness to multiple datasets of the varying sample sizes when compared to VAE. Again, the evaluation of model robustness against varying sample size shows a minimal decrease in model performance with decrease in sample size. This study directly supports agent-based modelling by enabling finer synthetic generation of populations in a reliable environment.




Abstract:As the most significant data source in smart mobility systems, GPS trajectories can help identify user travel mode. However, these GPS datasets may contain users' private information (e.g., home location), preventing many users from sharing their private information with a third party. Hence, identifying travel modes while protecting users' privacy is a significant issue. To address this challenge, we use federated learning (FL), a privacy-preserving machine learning technique that aims at collaboratively training a robust global model by accessing users' locally trained models but not their raw data. Specifically, we designed a novel ensemble-based Federated Deep Neural Network (eFedDNN). The ensemble method combines the outputs of the different models learned via FL by the users and shows an accuracy that surpasses comparable models reported in the literature. Extensive experimental studies on a real-world open-access dataset from Montreal demonstrate that the proposed inference model can achieve accurate identification of users' mode of travel without compromising privacy.




Abstract:This study presents an Ordinal version of Residual Logit (Ordinal-ResLogit) model to investigate the ordinal responses. We integrate the standard ResLogit model into COnsistent RAnk Logits (CORAL) framework, classified as a binary classification algorithm, to develop a fully interpretable deep learning-based ordinal regression model. As the formulation of the Ordinal-ResLogit model enjoys the Residual Neural Networks concept, our proposed model addresses the main constraint of machine learning algorithms, known as black-box. Moreover, the Ordinal-ResLogit model, as a binary classification framework for ordinal data, guarantees consistency among binary classifiers. We showed that the resulting formulation is able to capture underlying unobserved heterogeneity from the data as well as being an interpretable deep learning-based model. Formulations for market share, substitution patterns, and elasticities are derived. We compare the performance of the Ordinal-ResLogit model with an Ordered Logit Model using a stated preference (SP) dataset on pedestrian wait time and a revealed preference (RP) dataset on travel distance. Our results show that Ordinal-ResLogit outperforms the traditional ordinal regression model for both datasets. Furthermore, the results obtained from the Ordinal-ResLogit RP model show that travel attributes such as driving and transit cost have significant effects on choosing the location of non-mandatory trips. In terms of the Ordinal-ResLogit SP model, our results highlight that the road-related variables and traffic condition are contributing factors in the prediction of pedestrian waiting time such that the mixed traffic condition significantly increases the probability of choosing longer waiting times.




Abstract:Multi-task learning is assumed as a powerful inference method, specifically, where there is a considerable correlation between multiple tasks, predicting them in an unique framework may enhance prediction results. This research challenges this assumption by developing several single-task models to compare their results against multi-task learners to infer mode and purpose of trip from smartphone travel survey data collected as part of a smartphone-based travel survey. GPS trajectory data along with socio-demographics and destination-related characteristics are fed into a multi-input neural network framework to predict two outputs; mode and purpose. We deployed Recurrent Neural Networks (RNN) that are fed by sequential GPS trajectories. To process the socio-demographics and destination-related characteristics, another neural network, with different embedding and dense layers is used in parallel with RNN layers in a multi-input multi-output framework. The results are compared against the single-task learners that classify mode and purpose independently. We also investigate different RNN approaches such as Long-Short Term Memory (LSTM), Gated Recurrent Units (GRU) and Bi-directional Gated Recurrent Units (Bi-GRU). The best multi-task learner was a Bi-GRU model able to classify mode and purpose with an F1-measures of 84.33% and 78.28%, while the best single-task learner to infer mode of transport was a GRU model that achieved an F1-measure of 86.50%, and the best single-task Bi-GRU purpose detection model that reached an F1-measure of 77.38%. While there's an assumption of higher performance of multi-task over sing-task learners, the results of this study does not hold such an assumption and shows, in the context of mode and trip purpose inference from GPS trajectory data, a multi-task learning approach does not bring any considerable advantage over single-task learners.




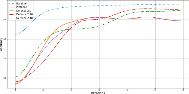
Abstract:In Federated Learning (FL), a group of workers participate to build a global model under the coordination of one node, the chief. Regarding the cybersecurity of FL, some attacks aim at injecting the fabricated local model updates into the system. Some defenses are based on malicious worker detection and behavioral pattern analysis. In this context, without timely and dynamic monitoring methods, the chief cannot detect and remove the malicious or unreliable workers from the system. Our work emphasize the urgency to prepare the federated learning process for monitoring and eventually behavioral pattern analysis. We study the information inside the learning process in the early stages of training, propose a monitoring process and evaluate the monitoring period required. The aim is to analyse at what time is it appropriate to start the detection algorithm in order to remove the malicious or unreliable workers from the system and optimise the defense mechanism deployment. We tested our strategy on a behavioral pattern analysis defense applied to the FL process of different benchmark systems for text and image classification. Our results show that the monitoring process lowers false positives and false negatives and consequently increases system efficiency by enabling the distributed learning system to achieve better performance in the early stage of training.