



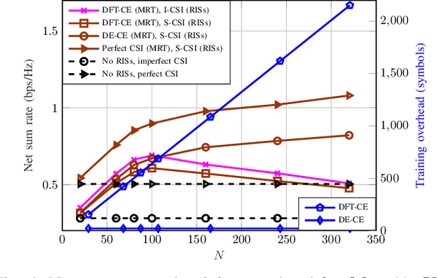
Abstract:This work studies the net sum-rate performance of a distributed reconfigurable intelligent surfaces (RISs)-assisted multi-user multiple-input-single-output (MISO) downlink communication system under imperfect instantaneous-channel state information (I-CSI) to implement precoding at the base station (BS) and statistical-CSI (S-CSI) to design the RISs phase-shifts. Two channel estimation (CE) protocols are considered for I-CSI acquisition: (i) a full CE protocol that estimates all direct and RISs-assisted channels over multiple training sub-phases, and (ii) a low-overhead direct estimation (DE) protocol that estimates the end-to-end channel in a single sub-phase. We derive the asymptotic equivalents of signal-to-interference-plus-noise ratio (SINR) and ergodic net sum-rate under both protocols for given RISs phase-shifts, which are then optimized based on S-CSI. Simulation results reveal that the low-complexity DE protocol yields better net sum-rate than the full CE protocol when used to obtain CSI for precoding. A benchmark full I-CSI based RISs design is also outlined and shown to yield higher SINR but lower net sum-rate than the S-CSI based RISs design.




Abstract:Communication with unmanned aerial vehicles (UAVs) in current terrestrial networks suffers from poor signal strength due to the down-tilt of the access points (APs) that are optimized to serve ground users ends (GUEs). To solve this, one could tilt the AP antenna upwards or allocate more power to serve the UAV. However, this negatively affects GUE downlink (DL) rates. In this paper, we propose to solve this challenge using a reconfigurable intelligent surface (RIS) to enhance the UAV communication while preserving the 3GPP- prescribed downwards antenna tilt and potentially improving the DL performance of the GUE. We show that under conjugate beamforming (CB) precoding and proper power split between GUEs and the UAV at the APs, an RIS with phase-shifts configured to reflect radio signals towards the UAV can significantly improve the UAV DL throughput while simultaneously benefiting the GUEs. The presented numerical results show that the RIS- aided system can serve a UAV with a required data rate while improving the GUEs DL performance relative to that in a CF- MIMO system without a UAV and an RIS. We support this conclusion through simulations under a varying numbers of RIS reflecting elements, UAV heights, and power split factor.



Abstract:This work studies the asymptotic sum-rate performance of a multi-user reconfigurable intelligent surface (RIS) assisted-multiple-input single-output (MISO) downlink system under imperfect CSI and Rayleigh and Rician fading. We first extend the existing least squares (LS) ON/OFF channel estimation protocol to a multi-user system, where we derive minimum mean squared error (MMSE) estimates of all RIS-assisted channels over multiple sub-phases. We also consider a low-complexity direct estimation (DE) scheme, where the BS obtains the MMSE estimate of the overall channel in a single sub-phase. Under both protocols, the BS implements maximum ratio transmission (MRT) precoding while the RIS phases are studied in the large system limit, where we derive deterministic equivalents of the signal- to-interference-plus-noise ratio (SINR) and the sum-rate. The derived asymptotic expressions reveal that under Rayleigh fading, the RIS phase-shift values do not play a significant role in improving the sum-rate but the RIS still provides an array gain. However, under Rician fading, we show that RIS provides both array and reflect beamforming gains. A projected gradient ascent-based algorithm is used to optimize the phase-shifts under both ON/OFF and DE protocol. Simulation results show that the DE of the overall channel yields better downlink performance when considering large systems.




Abstract:In this paper, we consider and study a cell-free massive MIMO (CF-mMIMO) system aided with reconfigurable intelligent surfaces (RISs), where a large number of access points (APs) cooperate to serve a smaller number of users with the help of RIS technology. We consider imperfect channel state information (CSI), where each AP uses the local channel estimates obtained from the uplink pilots and applies conjugate beamforming for downlink data transmission. Additionally, we consider random beamforming at the RIS during both training and data transmission phases. This allows us to eliminate the need of estimating each RIS assisted link, which has been proven to be a challenging task in literature. We then derive a closed-form expression for the achievable rate and use it to evaluate the system's performance supported with numerical results. We show that the RIS provided array gain improves the system's coverage, and provides nearly a 2-fold increase in the minimum rate and a 1.5-fold increase in the per-user throughput. We also use the results to provide preliminary insights on the number of RISs that need to be used to replace an AP, while achieving similar performance as a typical CF-mMIMO system with dense AP deployment.