Abstract:Multiple-input multiple-output (MIMO) systems require efficient and accurate channel estimation with low pilot overhead to unlock their full potential for high spectral and energy efficiency. While deep generative models have emerged as a powerful foundation for the channel estimation task, the existing approaches using diffusion-based and score-based models suffer from high computational runtime due to their stochastic and many-step iterative sampling. In this paper, we introduce a flow matching-based channel estimator to overcome this limitation. The proposed channel estimator is based on a deep neural network trained to learn the velocity field of wireless channels, which we then integrate into a plug-and-play proximal gradient descent (PnP-PGD) framework. Simulation results reveal that our formulated approach consistently outperforms existing state-of-the-art (SOTA) generative model-based estimators, achieves up to 49 times faster inference at test time, and reduces up to 20 times peak graphics processing unit (GPU) memory usage. Our code and models are publicly available to support reproducible research.




Abstract:Stacked intelligent metasurface (SIM) is an emerging programmable metasurface architecture that can implement signal processing directly in the electromagnetic wave domain, thereby enabling efficient implementation of ultra-massive multiple-input multiple-output (MIMO) transceivers with a limited number of radio frequency (RF) chains. Channel estimation (CE) is challenging for SIM-enabled communication systems due to the multi-layer architecture of SIM, and because we need to estimate large dimensional channels between the SIM and users with a limited number of RF chains. To efficiently solve this problem, we develop a novel hybrid digital-wave domain channel estimator, in which the received training symbols are first processed in the wave domain within the SIM layers, and then processed in the digital domain. The wave domain channel estimator, parametrized by the phase shifts applied by the meta-atoms in all layers, is optimized to minimize the mean squared error (MSE) using a gradient descent algorithm, within which the digital part is optimally updated. For an SIM-enabled multi-user system equipped with 4 RF chains and a 6-layer SIM with 64 meta-atoms each, the proposed estimator yields an MSE that is very close to that achieved by fully digital CE in a massive MIMO system employing 64 RF chains. This high CE accuracy is achieved at the cost of a training overhead that can be reduced by exploiting the potential low rank of channel correlation matrices.




Abstract:The reflection characteristics of a reconfigurable intelligent surface (RIS) depend on the phase response of the constituent unit cells, which is necessarily frequency dependent. This paper investigates the role of an RIS constituting unit cells with different phase-frequency profiles in a wide-band orthogonal frequency division multiplexing (OFDM) system to improve the achievable rate. We first propose a mathematical model for the phase-frequency relationship parametrized by the phase-frequency profile's slope and phase-shift corresponding to a realizable resonant RIS unit cell. Then, modelling each RIS element with $b$ control bits, we propose a method for selecting the parameter pairs to obtain a set of $2^b$ phase-frequency profiles. The proposed method yields an RIS design that outperforms existing designs over a wide range of user locations in a single-input, single-output (SISO) OFDM system. We then propose a low-complexity optimization algorithm to maximize the data rate through the joint optimization of (a) power allocations across the sub-carriers and (b) phase-frequency profile for each RIS unit cell from the available set. The analysis is then extended to a multi-user multiple-input single-output (MISO) OFDM scenario. Numerical results show an improvement in the coverage and achievable rates under the proposed framework as compared to single-slope phase-frequency profiles.




Abstract:Holographic multiple-input multiple-output (HMIMO) communication systems utilize spatially-constrained massive MIMO arrays containing large numbers of antennas with sub-wavelength spacing, and have emerged as a promising candidate technology for Sixth Generation (6G) networks. In this paper, we consider the downlink of a multi-user HMIMO communication system under a Fourier plane-wave series representation of the stochastic electromagnetic MIMO channel model, and make two important contributions. First, we present a closed-form expression of the ergodic achievable downlink rate under maximum ratio transmission (MRT) precoding at the base station (BS). The derived expression explicitly shows the effect of the side-lengths of the HMIMO surfaces at the BS and each user, and the number of antennas deployed in these surfaces on the user rates. Second, we formulate an energy efficiency (EE) maximization problem with respect to the number of antennas arranged within spatially-constrained HMIMO surfaces at the BS and each user. The resulting implicit solution for this problem is shown to be globally optimal. Numerical results yield useful insights into the EE performance of multi-user HMIMO systems in different operating regimes.




Abstract:Distributed intelligent reflecting surfaces (IRSs) deployed in multi-user wireless communication systems promise improved system performance. However, the signal-to-interference-plus-noise ratio (SINR) analysis and IRSs optimization in such a system become challenging, due to the large number of involved parameters. The system optimization can be simplified if users are associated with IRSs, which in turn focus on serving the associated users. We provide a practical theoretical framework for the average SINR analysis of a distributed IRSs-assisted multi-user MISO system, where IRSs are optimized to serve their associated users. In particular, we derive the average SINR expression under maximum ratio transmission (MRT) precoding at the BS and optimized reflect beamforming configurations at the IRSs. A successive refinement (SR) method is then outlined to optimize the IRS-user association parameters for the formulated max-min SINR problem which motivates user-fairness. Simulations validate the average SINR analysis while confirming the superiority of a distributed IRSs system over a centralized IRS system as well as the gains with optimized IRS-user association as compared to random association.



Abstract:This work studies the asymptotic sum-rate performance of a multi-user reconfigurable intelligent surface (RIS) assisted-multiple-input single-output (MISO) downlink system under imperfect CSI and Rayleigh and Rician fading. We first extend the existing least squares (LS) ON/OFF channel estimation protocol to a multi-user system, where we derive minimum mean squared error (MMSE) estimates of all RIS-assisted channels over multiple sub-phases. We also consider a low-complexity direct estimation (DE) scheme, where the BS obtains the MMSE estimate of the overall channel in a single sub-phase. Under both protocols, the BS implements maximum ratio transmission (MRT) precoding while the RIS phases are studied in the large system limit, where we derive deterministic equivalents of the signal- to-interference-plus-noise ratio (SINR) and the sum-rate. The derived asymptotic expressions reveal that under Rayleigh fading, the RIS phase-shift values do not play a significant role in improving the sum-rate but the RIS still provides an array gain. However, under Rician fading, we show that RIS provides both array and reflect beamforming gains. A projected gradient ascent-based algorithm is used to optimize the phase-shifts under both ON/OFF and DE protocol. Simulation results show that the DE of the overall channel yields better downlink performance when considering large systems.




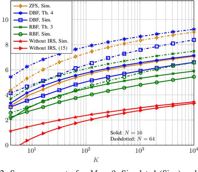
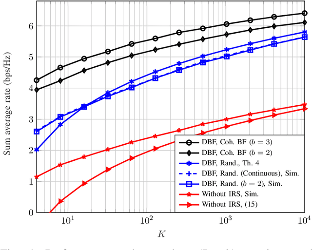
Abstract:The current literature on intelligent reflecting surface (IRS) focuses on optimizing the IRS phase shifts to yield coherent beamforming gains, under the assumption of perfect channel state information (CSI) of individual IRS-assisted links, which is highly impractical. This work, instead, considers the random rotations scheme at the IRS in which the reflecting elements only employ random phase rotations without requiring any CSI. The only CSI then needed is at the base station (BS) of the overall channel to implement the beamforming transmission scheme. Under this framework, we derive the sum-rate scaling laws in the large number of users regime for the IRS-assisted multiple-input single-output (MISO) broadcast channel, with optimal dirty paper coding (DPC) scheme and the lower-complexity random beamforming (RBF) and deterministic beamforming (DBF) schemes at the BS. The random rotations scheme increases the sum-rate by exploiting multi-user diversity, but also compromises the gain to some extent due to correlation. Finally, energy efficiency maximization problems in terms of the number of BS antennas, IRS elements and transmit power are solved using the derived scaling laws. Simulation results show the proposed scheme to improve the sum-rate, with performance becoming close to that under coherent beamforming for a large number of users.