



Abstract:Arrival/Travel times for public transit exhibit variability on account of factors like seasonality, dwell times at bus stops, traffic signals, travel demand fluctuation etc. The developing world in particular is plagued by additional factors like lack of lane discipline, excess vehicles, diverse modes of transport and so on. This renders the bus arrival time prediction (BATP) to be a challenging problem especially in the developing world. A novel data-driven model based on recurrent neural networks (RNNs) is proposed for BATP (in real-time) in the current work. The model intelligently incorporates both spatial and temporal correlations in a unique (non-linear) fashion distinct from existing approaches. In particular, we propose a Gated Recurrent Unit (GRU) based Encoder-Decoder(ED) OR Seq2Seq RNN model (originally introduced for language translation) for BATP. The geometry of the dynamic real time BATP problem enables a nice fit with the Encoder-Decoder based RNN structure. We feed relevant additional synchronized inputs (from previous trips) at each step of the decoder (a feature classically unexplored in machine translation applications). Further motivated from accurately modelling congestion influences on travel time prediction, we additionally propose to use a bidirectional layer at the decoder (something unexplored in other time-series based ED application contexts). The effectiveness of the proposed algorithms is demonstrated on real field data collected from challenging traffic conditions. Our experiments indicate that the proposed method outperforms diverse existing state-of-art data-driven approaches proposed for the same problem.




Abstract:Missing data scenarios are very common in ML applications in general and time-series/sequence applications are no exceptions. This paper pertains to a novel Recurrent Neural Network (RNN) based solution for sequence prediction under missing data. Our method is distinct from all existing approaches. It tries to encode the missingness patterns in the data directly without trying to impute data either before or during model building. Our encoding is lossless and achieves compression. It can be employed for both sequence classification and forecasting. We focus on forecasting here in a general context of multi-step prediction in presence of possible exogenous inputs. In particular, we propose novel variants of Encoder-Decoder (Seq2Seq) RNNs for this. The encoder here adopts the above mentioned pattern encoding, while at the decoder which has a different structure, multiple variants are feasible. We demonstrate the utility of our proposed architecture via multiple experiments on both single and multiple sequence (real) data-sets. We consider both scenarios where (i)data is naturally missing and (ii)data is synthetically masked.




Abstract:Deep learning (DL) in general and Recurrent neural networks (RNNs) in particular have seen high success levels in sequence based applications. This paper pertains to RNNs for time series modelling and forecasting. We propose a novel RNN architecture capturing (stochastic) seasonal correlations intelligently while capable of accurate multi-step forecasting. It is motivated from the well-known encoder-decoder (ED) architecture and multiplicative seasonal auto-regressive model. It incorporates multi-step (multi-target) learning even in the presence (or absence) of exogenous inputs. It can be employed on single or multiple sequence data. For the multiple sequence case, we also propose a novel greedy recursive procedure to build (one or more) predictive models across sequences when per-sequence data is less. We demonstrate via extensive experiments the utility of our proposed architecture both in single sequence and multiple sequence scenarios.




Abstract:Predicting travel times of vehicles in urban settings is a useful and tangible quantity of interest in the context of intelligent transportation systems. We address the problem of travel time prediction in arterial roads using data sampled from probe vehicles. There is only a limited literature on methods using data input from probe vehicles. The spatio-temporal dependencies captured by existing data driven approaches are either too detailed or very simplistic. We strike a balance of the existing data driven approaches to account for varying degrees of influence a given road may experience from its neighbors, while controlling the number of parameters to be learnt. Specifically, we use a NoisyOR conditional probability distribution (CPD) in conjunction with a dynamic bayesian network (DBN) to model state transitions of various roads. We propose an efficient algorithm to learn model parameters. We propose an algorithm for predicting travel times on trips of arbitrary durations. Using synthetic and real world data traces we demonstrate the superior performance of the proposed method under different traffic conditions.


Abstract:Frequent Episode Discovery framework is a popular framework in Temporal Data Mining with many applications. Over the years many different notions of frequencies of episodes have been proposed along with different algorithms for episode discovery. In this paper we present a unified view of all such frequency counting algorithms. We present a generic algorithm such that all current algorithms are special cases of it. This unified view allows one to gain insights into different frequencies and we present quantitative relationships among different frequencies. Our unified view also helps in obtaining correctness proofs for various algorithms as we show here. We also point out how this unified view helps us to consider generalization of the algorithm so that they can discover episodes with general partial orders.




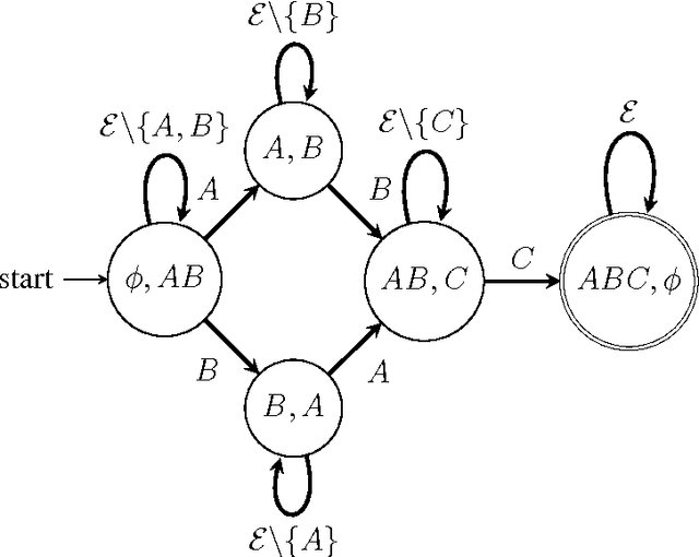
Abstract:Frequent episode discovery is a popular framework for pattern discovery in event streams. An episode is a partially ordered set of nodes with each node associated with an event type. Efficient (and separate) algorithms exist for episode discovery when the associated partial order is total (serial episode) and trivial (parallel episode). In this paper, we propose efficient algorithms for discovering frequent episodes with general partial orders. These algorithms can be easily specialized to discover serial or parallel episodes. Also, the algorithms are flexible enough to be specialized for mining in the space of certain interesting subclasses of partial orders. We point out that there is an inherent combinatorial explosion in frequent partial order mining and most importantly, frequency alone is not a sufficient measure of interestingness. We propose a new interestingness measure for general partial order episodes and a discovery method based on this measure, for filtering out uninteresting partial orders. Simulations demonstrate the effectiveness of our algorithms.