



Abstract:The Schr\"odinger bridge problem (SBP) finds the most likely stochastic evolution between two probability distributions given a prior stochastic evolution. As well as applications in the natural sciences, problems of this kind have important applications in machine learning such as dataset alignment and hypothesis testing. Whilst the theory behind this problem is relatively mature, scalable numerical recipes to estimate the Schr\"odinger bridge remain an active area of research. We prove an equivalence between the SBP and maximum likelihood estimation enabling direct application of successful machine learning techniques. We propose a numerical procedure to estimate SBPs using Gaussian process and demonstrate the practical usage of our approach in numerical simulations and experiments.




Abstract:We introduce Schr\"odingeRNN, a quantum inspired generative model for raw audio. Audio data is wave-like and is sampled from a continuous signal. Although generative modelling of raw audio has made great strides lately, relational inductive biases relevant to these two characteristics are mostly absent from models explored to date. Quantum Mechanics is a natural source of probabilistic models of wave behaviour. Our model takes the form of a stochastic Schr\"odinger equation describing the continuous time measurement of a quantum system, and is equivalent to the continuous Matrix Product State (cMPS) representation of wavefunctions in one dimensional many-body systems. This constitutes a deep autoregressive architecture in which the systems state is a latent representation of the past observations. We test our model on synthetic data sets of stationary and non-stationary signals. This is the first time cMPS are used in machine learning.




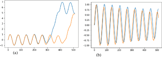
Abstract:The solution of problems in physics is often facilitated by a change of variables. In this work we present neural transformations to learn symmetries of Hamiltonian mechanical systems. Maintaining the Hamiltonian structure requires novel network architectures that parametrize symplectic transformations. We demonstrate the utility of these architectures by learning the structure of integrable models. Our work exemplifies the adaptation of neural transformations to a family constrained by more than the condition of invertibility, which we expect to be a common feature of applications of these methods.