



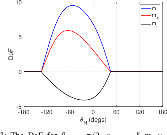
Abstract:This paper examines the number of communication modes, that is, the degrees of freedom (DoF), in a wireless setup comprising a small continuous linear intelligent antenna array in the near field of a large one. The framework allows for any orientations between the arrays and any positions in a two-dimensional space assuming that the transmitting array is placed at the origin. Therefore, apart from the length of the two continuous arrays, four key parameters determine the DoF and are hence considered in the analysis: the Cartesian coordinates of the center of the receiving array and two angles that model the rotation of each array around its center. The paper starts with the calculation of the deterministic DoF for a generic geometric setting, which extends beyond the widely studied paraxial case. Subsequently, a stochastic geometry framework is proposed to study the statistical DoF, as a first step towards the investigation of the system-level performance in near field networks. Numerical results applied to millimeter wave networks reveal the large number of DoF provided by near-field communications and unveiled key system-level insights.




Abstract:One of the most promising technologies for next-generation wireless networks is integrated communication and sensing (ISAC). It is considered a key enabler for applications that require both enhanced communication and accurate sensing capabilities. Examples of such applications include smart environments, augmented and virtual reality, or the internet of things, where the capabilities of intelligent sensing and broadband communications are vital. Therefore, ISAC has attracted the research interest of both academia and industry, and many investigations have been carried out over the past decade. The articles in the literature include system models, performance evaluation, and optimization studies of several ISAC alternative designs. Stochastic geometry is the study and analysis of random spatial patterns, and as such, stochastic geometry tools have been considered for the performance evaluation of wireless networks with different types of nodes. In this paper, we aim to provide a comprehensive survey of current research progress in performance evaluation of ISAC systems using stochastic geometry tools. The survey covers terrestrial, aerial, and vehicular networks, where the random spatial location of the corresponding network elements and propagation scatterers and/or blockages is treated with various point processes. The paper starts with a short tutorial on ISAC technology, stochastic geometry tools, and metrics used in performance evaluation of communication and sensing. Then, the technical components of the system models utilized in the surveyed papers are discussed. Subsequently, we present the key results of the literature in all types of networks using three levels of integration: sensing-assisted communication, communication-assisted sensing, and joint sensing and communication. Finally, future research challenges and promising directions are discussed.




Abstract:This letter studies the joint energy and signal-to-interference-plus-noise (SINR)-based coverage probability in Unmanned Aerial Vehicle (UAV)-assisted radio frequency (RF)-powered Internet of Things (IoT) networks. The UAVs are spatially distributed in an aerial corridor that is modeled as a one-dimensional (1D) binomial point process (BPP). By accurately capturing the line-of-sight (LoS) probability of a UAV through large-scale fading i) an exact form expression for the energy coverage probability is derived, and ii) a tight approximation for the overall coverage performance is obtained. Among several key findings, numerical results reveal the optimal number of deployed UAV-BSs that maximizes the joint coverage probability, as well as the optimal length of the UAV corridors when designing such UAV-assisted IoT networks.




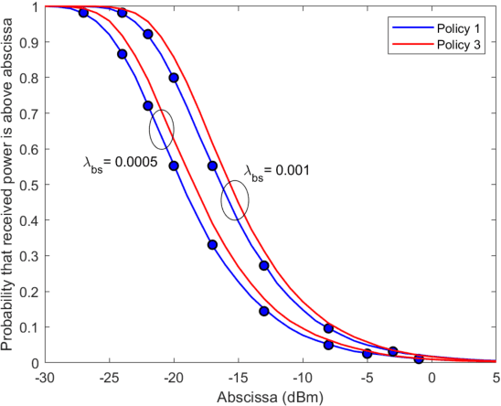
Abstract:A novel stochastic geometry framework is proposed in this paper to study the downlink coverage performance in a millimeter wave (mmWave) cellular network by jointly considering the polar coordinates of the Base Stations (BSs) with respect to the typical user located at the origin. Specifically, both the Euclidean and the angular distances of the BSs in a maximum power-based association policy for the UE are considered to account for realistic beam management considerations, which have been largely ignored in the literature, especially in the cell association phase. For completeness, two other association schemes are considered and exact-form expressions for the coverage probability are derived. Subsequently, the key role of angular distances is highlighted by defining the dominant interferer using angular distance-based criteria instead of Euclidean distance-based, and conducting a dominant interferer-based coverage probability analysis. Among others, the numerical results revealed that considering angular distance-based criteria for determining both the serving and the dominant interfering BS, can approximate the coverage performance more accurately as compared to utilizing Euclidean distance-based criteria. To the best of the authors$'$ knowledge, this is the first work that rigorously explores the role of angular distances in the association policy and analysis of cellular networks.