Abstract:Non-terrestrial networks (NTNs) are emerging as a core component of future 6G communication systems, providing global connectivity and supporting data-intensive applications. In this paper, we propose a distributed hierarchical federated learning (HFL) framework within the NTN architecture, leveraging a high altitude platform station (HAPS) constellation as intermediate distributed FL servers. Our framework integrates both low-Earth orbit (LEO) satellites and ground clients in the FL training process while utilizing geostationary orbit (GEO) and medium-Earth orbit (MEO) satellites as relays to exchange FL global models across other HAPS constellations worldwide, enabling seamless, global-scale learning. The proposed framework offers several key benefits: (i) enhanced privacy through the decentralization of the FL mechanism by leveraging the HAPS constellation, (ii) improved model accuracy and reduced training loss while balancing latency, (iii) increased scalability of FL systems through ubiquitous connectivity by utilizing MEO and GEO satellites, and (iv) the ability to use FL data, such as resource utilization metrics, to further optimize the NTN architecture from a network management perspective. A numerical study demonstrates the proposed framework's effectiveness, with improved model accuracy, reduced training loss, and efficient latency management. The article also includes a brief review of FL in NTNs and highlights key challenges and future research directions.




Abstract:In this paper, we address the problem of joint allocation of transmit and jamming power at the source and destination, respectively, to enhance the long-term cumulative secrecy performance of an energy-harvesting wireless communication system until it stops functioning in the presence of an eavesdropper. The source and destination have energy-harvesting devices with limited battery capacities. The destination also has a full-duplex transceiver to transmit jamming signals for secrecy. We frame the problem as an infinite-horizon Markov decision process (MDP) problem and propose a reinforcement learning-based optimal joint power allocation (OJPA) algorithm that employs a policy iteration (PI) algorithm. Since the optimal algorithm is computationally expensive, we develop a low-complexity sub-optimal joint power allocation (SJPA) algorithm, namely, reduced state joint power allocation (RSJPA). Two other SJPA algorithms, the greedy algorithm (GA) and the naive algorithm (NA), are implemented as benchmarks. In addition, the OJPA algorithm outperforms the individual power allocation (IPA) algorithms termed individual transmit power allocation (ITPA) and individual jamming power allocation (IJPA), where the transmit and jamming powers, respectively, are optimized individually. The results show that the OJPA algorithm is also more energy efficient. Simulation results show that the OJPA algorithm significantly improves the secrecy performance compared to all SJPA algorithms. The proposed RSJPA algorithm achieves nearly optimal performance with significantly less computational complexity marking it the balanced choice between the complexity and the performance. We find that the computational time for the RSJPA algorithm is around 75 percent less than the OJPA algorithm.




Abstract:The deployment of federated learning (FL) within vertical heterogeneous networks, such as those enabled by high-altitude platform station (HAPS), offers the opportunity to engage a wide array of clients, each endowed with distinct communication and computational capabilities. This diversity not only enhances the training accuracy of FL models but also hastens their convergence. Yet, applying FL in these expansive networks presents notable challenges, particularly the significant non-IIDness in client data distributions. Such data heterogeneity often results in slower convergence rates and reduced effectiveness in model training performance. Our study introduces a client selection strategy tailored to address this issue, leveraging user network traffic behaviour. This strategy involves the prediction and classification of clients based on their network usage patterns while prioritizing user privacy. By strategically selecting clients whose data exhibit similar patterns for participation in FL training, our approach fosters a more uniform and representative data distribution across the network. Our simulations demonstrate that this targeted client selection methodology significantly reduces the training loss of FL models in HAPS networks, thereby effectively tackling a crucial challenge in implementing large-scale FL systems.
Abstract:Self-evolving networks (SENs) are emerging technologies that dynamically and autonomously adapt and optimize their performance and behaviour based on changing conditions and evolving requirements. With the advent of fifth-generation (5G) wireless technologies and the resurgence of machine learning, SENs are expected to become a critical component of future wireless networks. In particular, integrated vertical heterogeneous network (VHetNet) architectures, which enable dynamic, three-dimensional (3D), and agile topologies, are likely to form a key foundation for SENs. However, the distributed multi-level computational and communication structure and the fully dynamic nature of self-evolving integrated VHetNets (SEI-VHetNets) necessitate the deployment of an enhanced distributed learning and computing mechanism to enable full integration and coordination. To address this need, we propose a novel learning technique, multi-tier hierarchical federated learning (MT-HFL), based on hierarchical federated learning (HFL) that enables full integration and coordination across vertical tiers. Through MT-HFL, SEI-VHetNets can learn and adapt to dynamic network conditions, optimize resource allocation, and enhance user experience in a real-time, scalable, and accurate manner while preserving user privacy. This paper presents the key characteristics and challenges of SEI-VHetNets and discusses how MT-HFL addresses them. We also discuss potential use cases and present a case study demonstrating the advantages of MT-HFL over conventional terrestrial HFL approaches.
Abstract:We propose a federated learning (FL) in stratosphere (FLSTRA) system, where a high altitude platform station (HAPS) felicitates a large number of terrestrial clients to collaboratively learn a global model without sharing the training data. FLSTRA overcomes the challenges faced by FL in terrestrial networks, such as slow convergence and high communication delay due to limited client participation and multi-hop communications. HAPS leverages its altitude and size to allow the participation of more clients with line-of-sight (LoS) links and the placement of a powerful server. However, handling many clients at once introduces computing and transmission delays. Thus, we aim to obtain a delay-accuracy trade-off for FLSTRA. Specifically, we first develop a joint client selection and resource allocation algorithm for uplink and downlink to minimize the FL delay subject to the energy and quality-of-service (QoS) constraints. Second, we propose a communication and computation resource-aware (CCRA-FL) algorithm to achieve the target FL accuracy while deriving an upper bound for its convergence rate. The formulated problem is non-convex; thus, we propose an iterative algorithm to solve it. Simulation results demonstrate the effectiveness of the proposed FLSTRA system, compared to terrestrial benchmarks, in terms of FL delay and accuracy.




Abstract:High altitude platform station (HAPS), which is deployed in the stratosphere at an altitude of 20-50 kilometres, has attracted much attention in recent years due to their large footprint, line-of-sight links, and fixed position relative to the Earth. Compared with existing network infrastructure, HAPS has a much larger coverage area than terrestrial base stations and is much closer than satellites to the ground users. Besides small-cells and macro-cells, a HAPS can offer one mega-cell, which can complement legacy networks in 6G and beyond wireless systems. This paper explores potential use cases and discusses relevant open challenges of integrating HAPS into legacy networks, while also suggesting some solutions to these challenges. The cumulative density functions of spectral efficiency of the integrated network and cell-edge users are studied and compared with terrestrial network. The results show the capacity gains achieved by the integrated network are beneficial to cell-edge users. Furthermore, the advantages of a HAPS for backhauling aerial base stations are demonstrated by the simulation results.




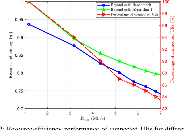
Abstract:In the future, urban regions will encounter a massive number of capacity-hungry devices. Relying solely on terrestrial networks for serving all UEs will be a cost-ineffective approach. Consequently, with the anticipated supply and demand mismatch, several UEs will be unsupported. To offer service to the left-out UEs, we employ an energy-efficient and cost-effective beyond-cell communications approach, which uses reconfigurable intelligent surfaces (RIS) on a high-altitude platform station (HAPS). Particularly, unsupported UEs will be connected to a dedicated control station (CS) through RIS-mounted HAPS. A novel resource-efficient optimization problem is formulated that maximizes the number of connected UEs, while minimizing the total power consumed by the CS and RIS. Since the resulting problem is a mixed-integer nonlinear program (MINLP), a low-complexity two-stage algorithm is developed. Numerical results demonstrate that the proposed algorithm outperforms the benchmark approach in terms of the percentage of connected UEs and the resource-efficiency (RE). Also, the results show that the number of connected UEs is more sensitive to transmit power at the CS than the HAPS size.