



Abstract:The growth in the number of low-cost narrow band radios such as Bluetooth low energy (BLE) enabled applications such as asset tracking, human behavior monitoring, and keyless entry. The accurate range estimation is a must in such applications. Phase-based ranging has recently gained momentum due to its high accuracy in multipath environment compared to traditional schemes such as ranging based on received signal strength. The phase-based ranging requires tone exchange on multiple frequencies on a uniformly sampled frequency grid. Such tone exchange may not be possible due to some missing tones, e.g., reserved advertisement channels. Furthermore, the IQ values at a given tone may be distorted by interference. In this paper, we proposed two phase-based ranging schemes which deal with the missing/interfered tones. We compare the performance and complexity of the proposed schemes using simulations, complexity analysis, and two measurement setups. In particular, we show that for small number of missing/interfered tones, the proposed system based on employing a trained neural network (NN) performs very close to a reference ranging system where there is no missing/interference tones. Interestingly, this high performance is at the cost of negligible additional computational complexity and up to 60.5 Kbytes of additional required memory compared to the reference system, making it an attractive solution for ranging using hardware-limited radios such as BLE.




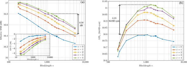
Abstract:Recently, a metric called energy dispersion index (EDI) was proposed to indicate the nonlinear interference (NLI) induced by correlated symbols during optical transmission. In this paper, we propose a new shaper architecture to decrease the EDI of transmitted symbols and thus, increase the signal-to-noise ratio (SNR). We call this shaper the list-encoding constant-composition distribution matcher (L-CCDM). L-CCDM consists of an additional EDI selecting module, which is compatible with standard probabilistic amplitude shaping (PAS) architecture. Numerical results obtained from a multi-span multi-channel system show that when compared to standard CCDM with 256-ary quadrature amplitude modulation (256QAM), the proposed architecture offers an effective SNR gain of 0.35 dB, an achievable information rate gain of 0.22 bit/4D-symbol, or equivalently an 8% reach extension.




Abstract:The stationary statistical properties of independent, identically distributed (i.i.d.) input symbols provide insights on the induced nonlinear interference (NLI) during fiber transmission. For example, kurtosis is known to predict the modulation format-dependent NLI. These statistical properties can be used in the design of probabilistic amplitude shaping (PAS), which is a popular scheme that relies on an amplitude shaper for increasing spectral efficiencies of fiber-optic systems. One property of certain shapers used in PAS -- including constant-composition distribution matchers -- that is often overlooked is that a time-dependency between amplitudes is introduced. This dependency results in symbols that are non-i.i.d., which have time-varying statistical properties. Somewhat surprisingly, the effective signal-to-noise ratio (SNR) in PAS has been shown to increase when the shaping blocklength decreases. This blocklength dependency of SNR has been attributed to time-varying statistical properties of the symbol sequences, in particular, to variation of the symbol energies. In this paper, we investigate the temporal energy behavior of symbol sequences, and introduce a new metric called energy dispersion index (EDI). EDI captures the time-varying statistical properties of symbol energies. Numerical results show strong correlations between EDI and effective SNR, with absolute correlation coefficients above 99% for different transmission distances.