


Abstract:We consider the problem of tracking the state of a process that evolves over time in a distributed setting, with multiple observers each observing parts of the state, which is a fundamental information processing problem with a wide range of applications. We propose a cloud-assisted scheme where the tracking is performed over the cloud. In particular, to provide timely and accurate updates, and alleviate the straggler problem of cloud computing, we propose a coded distributed computing approach where coded observations are distributed over multiple workers. The proposed scheme is based on a coded version of the Kalman filter that operates on data encoded with an erasure correcting code, such that the state can be estimated from partial updates computed by a subset of the workers. We apply the proposed scheme to the problem of tracking multiple vehicles and show that it achieves significantly higher accuracy than that of a corresponding uncoded scheme and approaches the accuracy of an ideal centralized scheme when the update interval is large enough. Finally, we observe a trade-off between age-of-information and estimation accuracy.




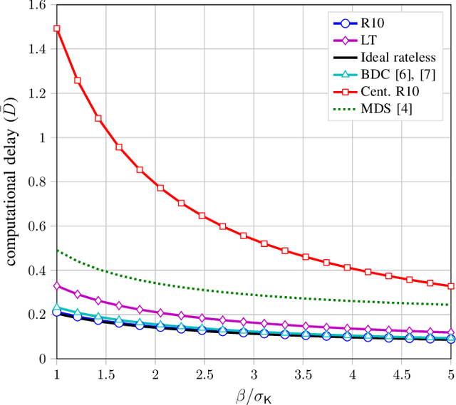
Abstract:We propose two coded schemes for the distributed computing problem of multiplying a matrix by a set of vectors. The first scheme is based on partitioning the matrix into submatrices and applying maximum distance separable (MDS) codes to each submatrix. For this scheme, we prove that up to a given number of partitions the communication load and the computational delay (not including the encoding and decoding delay) are identical to those of the scheme recently proposed by Li et al., based on a single, long MDS code. However, due to the use of shorter MDS codes, our scheme yields a significantly lower overall computational delay when the delay incurred by encoding and decoding is also considered. We further propose a second coded scheme based on Luby Transform (LT) codes under inactivation decoding. Interestingly, LT codes may reduce the delay over the partitioned scheme at the expense of an increased communication load. We also consider distributed computing under a deadline and show numerically that the proposed schemes outperform other schemes in the literature, with the LT code-based scheme yielding the best performance for the scenarios considered.



Abstract:We propose a coded distributed computing scheme based on Raptor codes to address the straggler problem. In particular, we consider a scheme where each server computes intermediate values, referred to as droplets, that are either stored locally or sent over the network. Once enough droplets are collected, the computation can be completed. Compared to previous schemes in the literature, our proposed scheme achieves lower computational delay when the decoding time is taken into account.