Abstract:Artificial neural networks are often overconfident, undermining trust because their predicted probabilities do not match actual accuracy. Inspired by biological sleep and the role of spontaneous replay in memory and learning, we introduce Sleep Replay Consolidation (SRC), a novel calibration approach. SRC is a post-training, sleep-like phase that selectively replays internal representations to update network weights and improve calibration without supervised retraining. Across multiple experiments, SRC is competitive with and complementary to standard approaches such as temperature scaling. Combining SRC with temperature scaling achieves the best Brier score and entropy trade-offs for AlexNet and VGG19. These results show that SRC provides a fundamentally novel approach to improving neural network calibration. SRC-based calibration offers a practical path toward more trustworthy confidence estimates and narrows the gap between human-like uncertainty handling and modern deep networks.




Abstract:Figuring out the price of a listed Airbnb rental is an important and difficult task for both the host and the customer. For the former, it can enable them to set a reasonable price without compromising on their profits. For the customer, it helps understand the key drivers for price and also provides them with similarly priced places. This price prediction regression task can also have multiple downstream uses, such as in recommendation of similar rentals based on price. We propose to use geolocation, temporal, visual and natural language features to create a reliable and accurate price prediction algorithm.




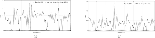
Abstract:We present a short survey of ways in which existing scientific knowledge are included when constructing models with neural networks. The inclusion of domain-knowledge is of special interest not just to constructing scientific assistants, but also, many other areas that involve understanding data using human-machine collaboration. In many such instances, machine-based model construction may benefit significantly from being provided with human-knowledge of the domain encoded in a sufficiently precise form. This paper examines the inclusion of domain-knowledge by means of changes to: the input, the loss-function, and the architecture of deep networks. The categorisation is for ease of exposition: in practice we expect a combination of such changes will be employed. In each category, we describe techniques that have been shown to yield significant changes in network performance.


Abstract:We present a survey of ways in which domain-knowledge has been included when constructing models with neural networks. The inclusion of domain-knowledge is of special interest not just to constructing scientific assistants, but also, many other areas that involve understanding data using human-machine collaboration. In many such instances, machine-based model construction may benefit significantly from being provided with human-knowledge of the domain encoded in a sufficiently precise form. This paper examines two broad approaches to encode such knowledge--as logical and numerical constraints--and describes techniques and results obtained in several sub-categories under each of these approaches.