



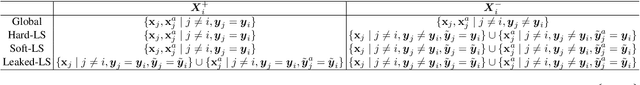
Contrastive learning (CL) has recently emerged as an effective approach to learning representation in a range of downstream tasks. Central to this approach is the selection of positive (similar) and negative (dissimilar) sets to provide the model the opportunity to `contrast' between data and class representation in the latent space. In this paper, we investigate CL for improving model robustness using adversarial samples. We first designed and performed a comprehensive study to understand how adversarial vulnerability behaves in the latent space. Based on these empirical evidences, we propose an effective and efficient supervised contrastive learning to achieve model robustness against adversarial attacks. Moreover, we propose a new sample selection strategy that optimizes the positive/negative sets by removing redundancy and improving correlation with the anchor. Experiments conducted on benchmark datasets show that our Adversarial Supervised Contrastive Learning (ASCL) approach outperforms the state-of-the-art defenses by $2.6\%$ in terms of the robust accuracy, whilst our ASCL with the proposed selection strategy can further gain $1.4\%$ improvement with only $42.8\%$ positives and $6.3\%$ negatives compared with ASCL without a selection strategy.