



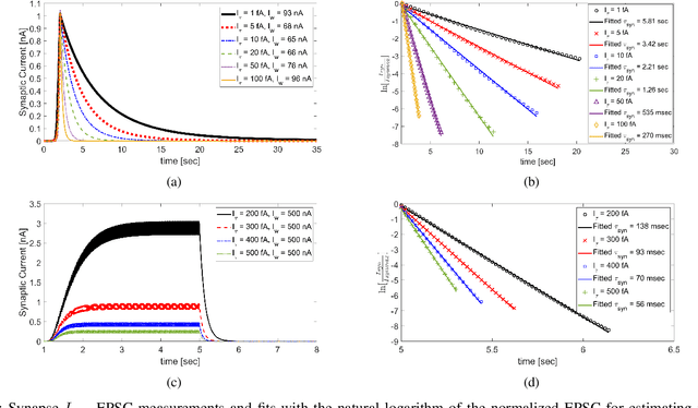
Recent years have seen an increasing interest in the development of artificial intelligence circuits and systems for edge computing applications. In-memory computing mixed-signal neuromorphic architectures provide promising ultra-low-power solutions for edge-computing sensory-processing applications, thanks to their ability to emulate spiking neural networks in real-time. The fine-grain parallelism offered by this approach allows such neural circuits to process the sensory data efficiently by adapting their dynamics to the ones of the sensed signals, without having to resort to the time-multiplexed computing paradigm of von Neumann architectures. To reduce power consumption even further, we present a set of mixed-signal analog/digital circuits that exploit the features of advanced Fully-Depleted Silicon on Insulator (FDSOI) integration processes. Specifically, we explore the options of advanced FDSOI technologies to address analog design issues and optimize the design of the synapse integrator and of the adaptive neuron circuits accordingly. We present circuit simulation results and demonstrate the circuit's ability to produce biologically plausible neural dynamics with compact designs, optimized for the realization of large-scale spiking neural networks in neuromorphic processors.