



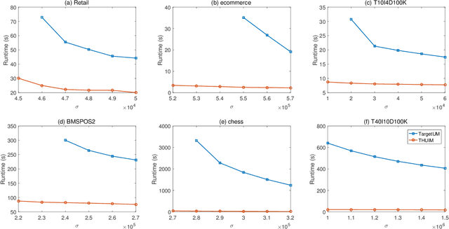
For applied intelligence, utility-driven pattern discovery algorithms can identify insightful and useful patterns in databases. However, in these techniques for pattern discovery, the number of patterns can be huge, and the user is often only interested in a few of those patterns. Hence, targeted high-utility itemset mining has emerged as a key research topic, where the aim is to find a subset of patterns that meet a targeted pattern constraint instead of all patterns. This is a challenging task because efficiently finding tailored patterns in a very large search space requires a targeted mining algorithm. A first algorithm called TargetUM has been proposed, which adopts an approach similar to post-processing using a tree structure, but the running time and memory consumption are unsatisfactory in many situations. In this paper, we address this issue by proposing a novel list-based algorithm with pattern matching mechanism, named THUIM (Targeted High-Utility Itemset Mining), which can quickly match high-utility itemsets during the mining process to select the targeted patterns. Extensive experiments were conducted on different datasets to compare the performance of the proposed algorithm with state-of-the-art algorithms. Results show that THUIM performs very well in terms of runtime and memory consumption, and has good scalability compared to TargetUM.