



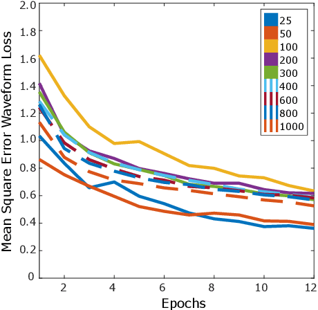
Synthetic data is a powerful tool in training data hungry deep learning algorithms. However, to date, camera-based physiological sensing has not taken full advantage of these techniques. In this work, we leverage a high-fidelity synthetics pipeline for generating videos of faces with faithful blood flow and breathing patterns. We present systematic experiments showing how physiologically-grounded synthetic data can be used in training camera-based multi-parameter cardiopulmonary sensing. We provide empirical evidence that heart and breathing rate measurement accuracy increases with the number of synthetic avatars in the training set. Furthermore, training with avatars with darker skin types leads to better overall performance than training with avatars with lighter skin types. Finally, we discuss the opportunities that synthetics present in the domain of camera-based physiological sensing and limitations that need to be overcome.