



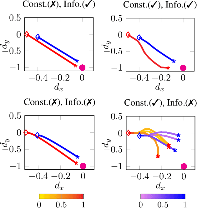
We study zero-sum differential games with state constraints and one-sided information, where the informed player (Player 1) has a categorical payoff type unknown to the uninformed player (Player 2). The goal of Player 1 is to minimize his payoff without violating the constraints, while that of Player 2 is to either violate the state constraints, or otherwise, to maximize the payoff. One example of the game is a man-to-man matchup in football. Without state constraints, Cardaliaguet (2007) showed that the value of such a game exists and is convex to the common belief of players. Our theoretical contribution is an extension of this result to differential games with state constraints and the derivation of the primal and dual subdynamic principles necessary for computing the behavioral strategies. Compared with existing works on imperfect-information dynamic games that focus on scalability and generalization, our focus is instead on revealing the mechanism of belief manipulation behaviors resulted from information asymmetry and state constraints. We use a simplified football game to demonstrate the utility of this work, where we reveal player positions and belief states in which the attacker should (or should not) play specific random fake moves to take advantage of information asymmetry, and compute how the defender should respond.