



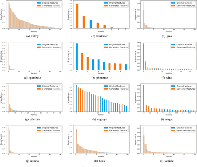
Machine learning techniques have been widely applied in Internet companies for various tasks, acting as an essential driving force, and feature engineering has been generally recognized as a crucial tache when constructing machine learning systems. Recently, a growing effort has been made to the development of automatic feature engineering methods, so that the substantial and tedious manual effort can be liberated. However, for industrial tasks, the efficiency and scalability of these methods are still far from satisfactory. In this paper, we proposed a staged method named SAFE (Scalable Automatic Feature Engineering), which can provide excellent efficiency and scalability, along with requisite interpretability and promising performance. Extensive experiments are conducted and the results show that the proposed method can provide prominent efficiency and competitive effectiveness when comparing with other methods. What's more, the adequate scalability of the proposed method ensures it to be deployed in large scale industrial tasks.