



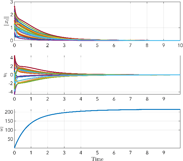
We develop a method for obtaining safe initial policies for reinforcement learning via approximate dynamic programming (ADP) techniques for uncertain systems evolving with discrete-time dynamics. We employ kernelized Lipschitz estimation and semidefinite programming for computing admissible initial control policies with provably high probability. Such admissible controllers enable safe initialization and constraint enforcement while providing exponential stability of the equilibrium of the closed-loop system.