



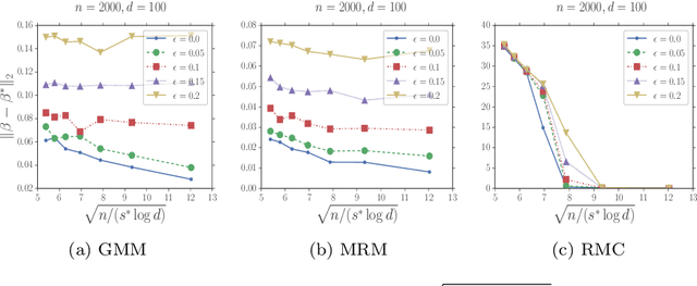
In this paper, we study the problem of estimating latent variable models with arbitrarily corrupted samples in high dimensional space ({\em i.e.,} $d\gg n$) where the underlying parameter is assumed to be sparse. Specifically, we propose a method called Trimmed (Gradient) Expectation Maximization which adds a trimming gradients step and a hard thresholding step to the Expectation step (E-step) and the Maximization step (M-step), respectively. We show that under some mild assumptions and with an appropriate initialization, the algorithm is corruption-proofing and converges to the (near) optimal statistical rate geometrically when the fraction of the corrupted samples $\epsilon$ is bounded by $ \tilde{O}(\frac{1}{\sqrt{n}})$. Moreover, we apply our general framework to three canonical models: mixture of Gaussians, mixture of regressions and linear regression with missing covariates. Our theory is supported by thorough numerical results.