



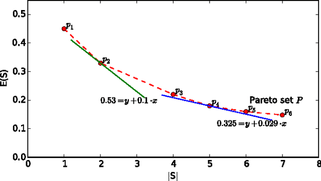
Ensemble learning has been widely employed by mobile applications, ranging from environmental sensing to activity recognitions. One of the fundamental issue in ensemble learning is the trade-off between classification accuracy and computational costs, which is the goal of ensemble pruning. During crowdsourcing, the centralized aggregator releases ensemble learning models to a large number of mobile participants for task evaluation or as the crowdsourcing learning results, while different participants may seek for different levels of the accuracy-cost trade-off. However, most of existing ensemble pruning approaches consider only one identical level of such trade-off. In this study, we present an efficient ensemble pruning framework for personalized accuracy-cost trade-offs via multi-objective optimization. Specifically, for the commonly used linear-combination style of the trade-off, we provide an objective-mixture optimization to further reduce the number of ensemble candidates. Experimental results show that our framework is highly efficient for personalized ensemble pruning, and achieves much better pruning performance with objective-mixture optimization when compared to state-of-art approaches.