


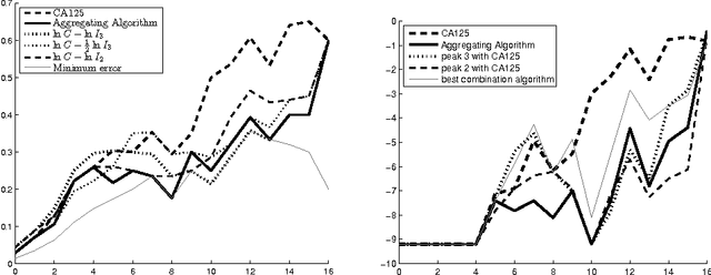
In this paper we apply computer learning methods to diagnosing ovarian cancer using the level of the standard biomarker CA125 in conjunction with information provided by mass-spectrometry. We are working with a new data set collected over a period of 7 years. Using the level of CA125 and mass-spectrometry peaks, our algorithm gives probability predictions for the disease. To estimate classification accuracy we convert probability predictions into strict predictions. Our algorithm makes fewer errors than almost any linear combination of the CA125 level and one peak's intensity (taken on the log scale). To check the power of our algorithm we use it to test the hypothesis that CA125 and the peaks do not contain useful information for the prediction of the disease at a particular time before the diagnosis. Our algorithm produces $p$-values that are better than those produced by the algorithm that has been previously applied to this data set. Our conclusion is that the proposed algorithm is more reliable for prediction on new data.