



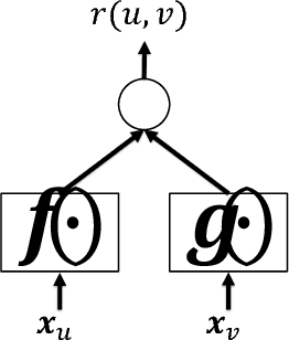
Recent advances in neural networks have inspired people to design hybrid recommendation algorithms that can incorporate both (1) user-item interaction information and (2) content information including image, audio, and text. Despite their promising results, neural network-based recommendation algorithms pose extensive computational costs, making it challenging to scale and improve upon. In this paper, we propose a general neural network-based recommendation framework, which subsumes several existing state-of-the-art recommendation algorithms, and address the efficiency issue by investigating sampling strategies in the stochastic gradient descent training for the framework. We tackle this issue by first establishing a connection between the loss functions and the user-item interaction bipartite graph, where the loss function terms are defined on links while major computation burdens are located at nodes. We call this type of loss functions "graph-based" loss functions, for which varied mini-batch sampling strategies can have different computational costs. Based on the insight, three novel sampling strategies are proposed, which can significantly improve the training efficiency of the proposed framework (up to $\times 30$ times speedup in our experiments), as well as improving the recommendation performance. Theoretical analysis is also provided for both the computational cost and the convergence. We believe the study of sampling strategies have further implications on general graph-based loss functions, and would also enable more research under the neural network-based recommendation framework.