



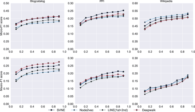
Real-world social networks and digital platforms are comprised of individuals (nodes) that are linked to other individuals or entities through multiple types of relationships (links). Sub-networks of such a network based on each type of link correspond to distinct views of the underlying network. In real-world applications, each node is typically linked to only a small subset of other nodes. Hence, practical approaches to problems such as node labeling have to cope with the resulting sparse networks. While low-dimensional network embeddings offer a promising approach to this problem, most of the current network embedding methods focus primarily on single view networks. We introduce a novel multi-view network embedding (MVNE) algorithm for constructing low-dimensional node embeddings from multi-view networks. MVNE adapts and extends an approach to single view network embedding (SVNE) using graph factorization clustering (GFC) to the multi-view setting using an objective function that maximizes the agreement between views based on both the local and global structure of the underlying multi-view graph. Our experiments with several benchmark real-world single view networks show that GFC-based SVNE yields network embeddings that are competitive with or superior to those produced by the state-of-the-art single view network embedding methods when the embeddings are used for labeling unlabeled nodes in the networks. Our experiments with several multi-view networks show that MVNE substantially outperforms the single view methods on integrated view and the state-of-the-art multi-view methods. We further show that even when the goal is to predict labels of nodes within a single target view, MVNE outperforms its single-view counterpart suggesting that the MVNE is able to extract the information that is useful for labeling nodes in the target view from the all of the views.