



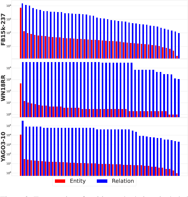
Subsampling is effective in Knowledge Graph Embedding (KGE) for reducing overfitting caused by the sparsity in Knowledge Graph (KG) datasets. However, current subsampling approaches consider only frequencies of queries that consist of entities and their relations. Thus, the existing subsampling potentially underestimates the appearance probabilities of infrequent queries even if the frequencies of their entities or relations are high. To address this problem, we propose Model-based Subsampling (MBS) and Mixed Subsampling (MIX) to estimate their appearance probabilities through predictions of KGE models. Evaluation results on datasets FB15k-237, WN18RR, and YAGO3-10 showed that our proposed subsampling methods actually improved the KG completion performances for popular KGE models, RotatE, TransE, HAKE, ComplEx, and DistMult.