



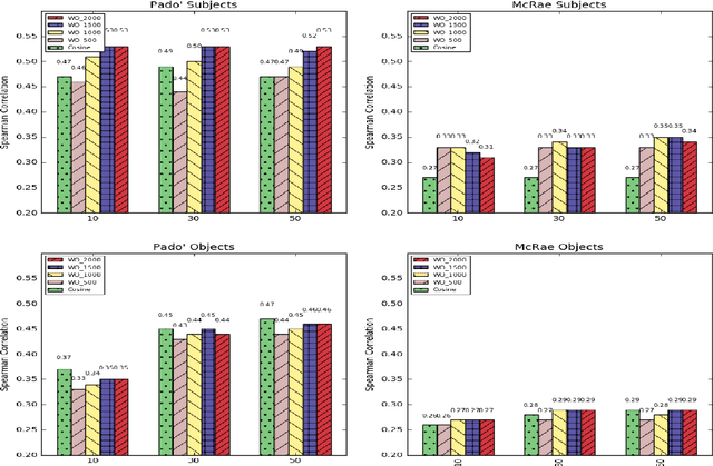
In this paper, we introduce a new distributional method for modeling predicate-argument thematic fit judgments. We use a syntax-based DSM to build a prototypical representation of verb-specific roles: for every verb, we extract the most salient second order contexts for each of its roles (i.e. the most salient dimensions of typical role fillers), and then we compute thematic fit as a weighted overlap between the top features of candidate fillers and role prototypes. Our experiments show that our method consistently outperforms a baseline re-implementing a state-of-the-art system, and achieves better or comparable results to those reported in the literature for the other unsupervised systems. Moreover, it provides an explicit representation of the features characterizing verb-specific semantic roles.