

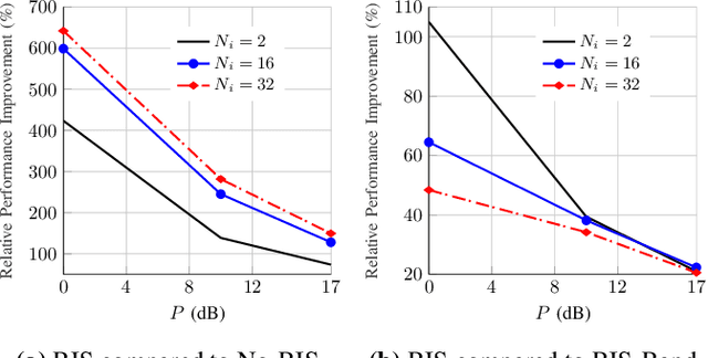
Reconfigurable intelligent surface (RIS) is a promising technology to enhance the spectral efficiency of wireless communication systems. By optimizing the RIS elements, the performance of the overall system can be improved. Yet, in contrast to single-carrier systems, in multi-carrier systems, it is not possible to independently optimize RIS elements at each sub-carrier, which may reduce the benefits of RIS in multi-user orthogonal frequency division multiplexing (OFDM) systems. To this end, we investigate the effectiveness of RIS in multiple-input, multiple-output (MIMO) OFDM broadcast channels (BC). We formulate and solve a joint precoding and RIS optimization problem. We show that RIS can significantly improve the system performance even when the number of RIS elements per sub-band is very low.