

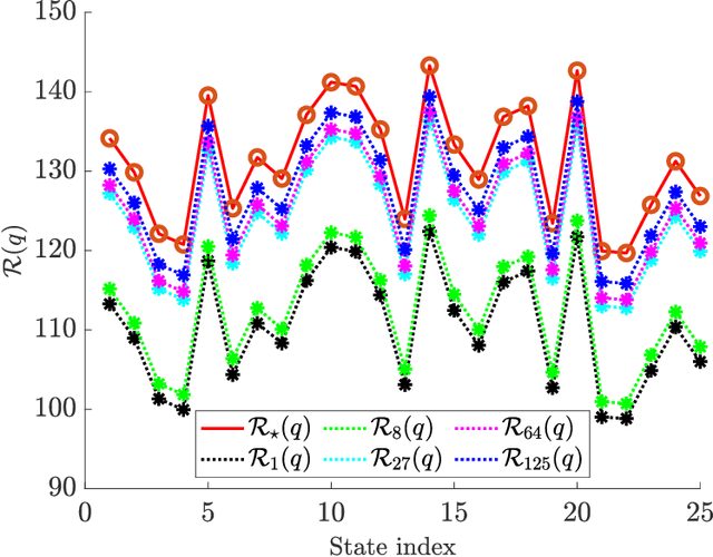
Interval Markov Decision Processes (IMDPs) are uncertain Markov models, where the transition probabilities belong to intervals. Recently, there has been a surge of research on employing IMDPs as abstractions of stochastic systems for control synthesis. However, due to the absence of algorithms for synthesis over IMDPs with continuous action-spaces, the action-space is assumed discrete a-priori, which is a restrictive assumption for many applications. Motivated by this, we introduce continuous-action IMDPs (caIMDPs), where the bounds on transition probabilities are functions of the action variables, and study value iteration for maximizing expected cumulative rewards. Specifically, we show that solving the max-min problem associated to value iteration is equivalent to solving $|\mathcal{Q}|$ max problems, where $|\mathcal{Q}|$ is the number of states of the caIMDP. Then, exploiting the simple form of these max problems, we identify cases where value iteration over caIMDPs can be solved efficiently (e.g., with linear or convex programming). We also gain other interesting insights: e.g., in the case where the action set $\mathcal{A}$ is a polytope and the transition bounds are linear, synthesizing over a discrete-action IMDP, where the actions are the vertices of $\mathcal{A}$, is sufficient for optimality. We demonstrate our results on a numerical example. Finally, we include a short discussion on employing caIMDPs as abstractions for control synthesis.