



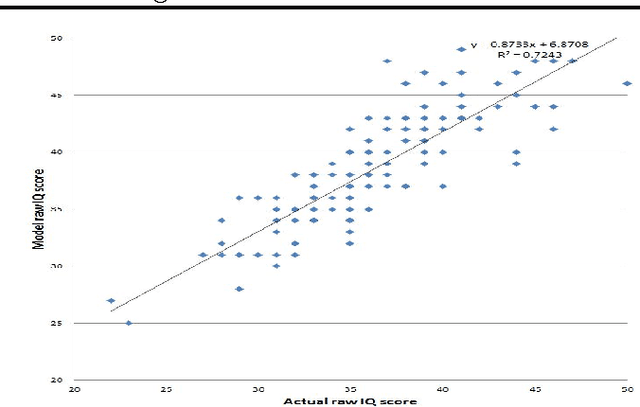
We propose a new probabilistic graphical model that jointly models the difficulties of questions, the abilities of participants and the correct answers to questions in aptitude testing and crowdsourcing settings. We devise an active learning/adaptive testing scheme based on a greedy minimization of expected model entropy, which allows a more efficient resource allocation by dynamically choosing the next question to be asked based on the previous responses. We present experimental results that confirm the ability of our model to infer the required parameters and demonstrate that the adaptive testing scheme requires fewer questions to obtain the same accuracy as a static test scenario.