



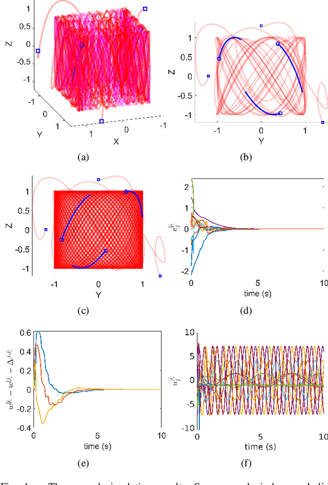
We propose coordinating guiding vector fields to achieve two tasks simultaneously with a team of robots: first, the guidance and navigation of multiple robots to possibly different paths or surfaces typically embedded in 2D or 3D; second, their motion coordination while tracking their prescribed paths or surfaces. The motion coordination is defined by desired parametric displacements between robots on the path or surface. Such a desired displacement is achieved by controlling the virtual coordinates, which correspond to the path or surface's parameters, between guiding vector fields. Rigorous mathematical guarantees underpinned by dynamical systems theory and Lyapunov theory are provided for the effective distributed motion coordination and navigation of robots on paths or surfaces from all initial positions. As an example for practical robotic applications, we derive a control algorithm from the proposed coordinating guiding vector fields for a Dubins-car-like model with actuation saturation. Our proposed algorithm is distributed and scalable to an arbitrary number of robots. Furthermore, extensive illustrative simulations and fixed-wing aircraft outdoor experiments validate the effectiveness and robustness of our algorithm.