



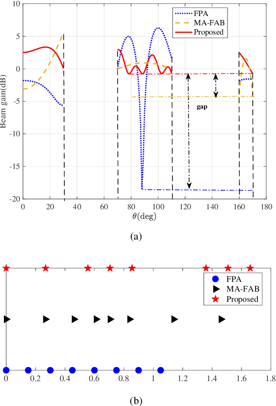
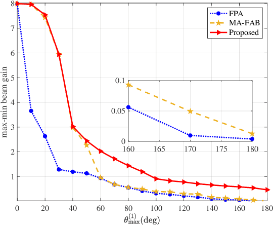
Fluid antennas (FAs) and movable antennas (MAs) have attracted increasing attention in wireless communications recently. As compared to the conventional fixed-position antennas (FPAs), their geometry can be dynamically reconfigured, such that more flexible beamforming can be achieved for signal coverage and/or interference nulling. In this paper, we investigate the use of MAs to achieve uniform coverage for multiple regions with arbitrary number and width in the spatial domain. In particular, we aim to jointly optimize the MAs weights and positions within a linear array to maximize the minimum beam gain over the desired spatial regions. However, the resulting problem is non-convex and difficult to be optimally solved. To tackle this difficulty, we propose an alternating optimization (AO) algorithm to obtain a high-quality suboptimal solution, where the MAs weights and positions are alternately optimized by applying successive convex approximation (SCA) technique. Numerical results show that our proposed MAbased beam coverage scheme can achieve much better performance than conventional FPAs.