



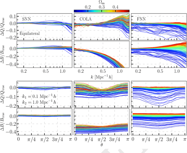
We build a field level emulator for cosmic structure formation that is accurate in the nonlinear regime. Our emulator consists of two convolutional neural networks trained to output the nonlinear displacements and velocities of N-body simulation particles based on their linear inputs. Cosmology dependence is encoded in the form of style parameters at each layer of the neural network, enabling the emulator to effectively interpolate the outcomes of structure formation between different flat $\Lambda$CDM cosmologies over a wide range of background matter densities. The neural network architecture makes the model differentiable by construction, providing a powerful tool for fast field level inference. We test the accuracy of our method by considering several summary statistics, including the density power spectrum with and without redshift space distortions, the displacement power spectrum, the momentum power spectrum, the density bispectrum, halo abundances, and halo profiles with and without redshift space distortions. We compare these statistics from our emulator with the full N-body results, the COLA method, and a fiducial neural network with no cosmological dependence. We find our emulator gives accurate results down to scales of $k \sim 1\ \mathrm{Mpc}^{-1}\, h$, representing a considerable improvement over both COLA and the fiducial neural network. We also demonstrate that our emulator generalizes well to initial conditions containing primordial non-Gaussianity, without the need for any additional style parameters or retraining.