



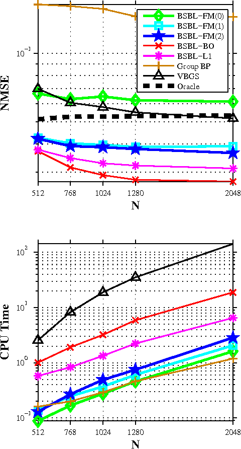
The performance of sparse signal recovery from noise corrupted, underdetermined measurements can be improved if both sparsity and correlation structure of signals are exploited. One typical correlation structure is the intra-block correlation in block sparse signals. To exploit this structure, a framework, called block sparse Bayesian learning (BSBL), has been proposed recently. Algorithms derived from this framework showed superior performance but they are not very fast, which limits their applications. This work derives an efficient algorithm from this framework, using a marginalized likelihood maximization method. Compared to existing BSBL algorithms, it has close recovery performance but is much faster. Therefore, it is more suitable for large scale datasets and applications requiring real-time implementation.