



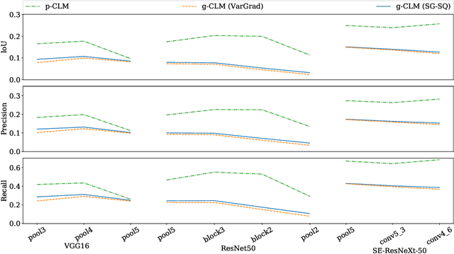
Human-centric explainability of AI-based Decision Support Systems (DSS) using visual input modalities is directly related to reliability and practicality of such algorithms. An otherwise accurate and robust DSS might not enjoy trust of experts in critical application areas if it is not able to provide reasonable justification of its predictions. This paper introduces Concept Localization Maps (CLMs), which is a novel approach towards explainable image classifiers employed as DSS. CLMs extend Concept Activation Vectors (CAVs) by locating significant regions corresponding to a learned concept in the latent space of a trained image classifier. They provide qualitative and quantitative assurance of a classifier's ability to learn and focus on similar concepts important for humans during image recognition. To better understand the effectiveness of the proposed method, we generated a new synthetic dataset called Simple Concept DataBase (SCDB) that includes annotations for 10 distinguishable concepts, and made it publicly available. We evaluated our proposed method on SCDB as well as a real-world dataset called CelebA. We achieved localization recall of above 80% for most relevant concepts and average recall above 60% for all concepts using SE-ResNeXt-50 on SCDB. Our results on both datasets show great promise of CLMs for easing acceptance of DSS in practice.