



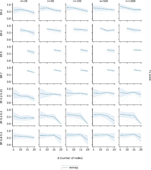
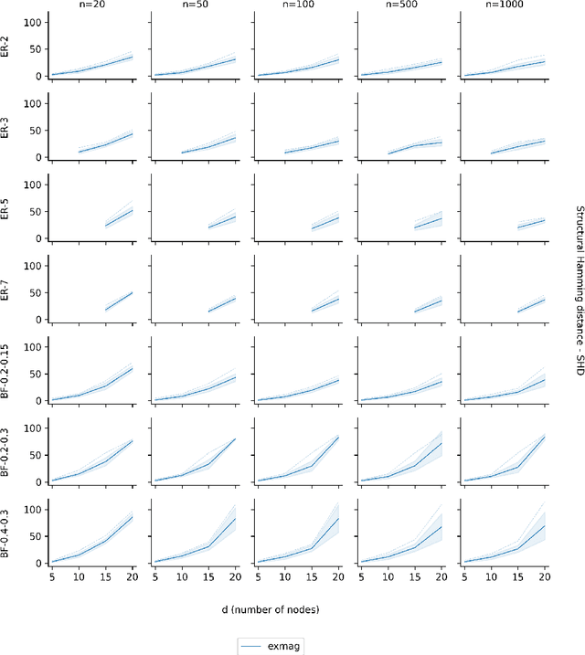
As one transitions from statistical to causal learning, one is seeking the most appropriate causal model. Dynamic Bayesian networks are a popular model, where a weighted directed acyclic graph represents the causal relationships. Stochastic processes are represented by its vertices, and weighted oriented edges suggest the strength of the causal relationships. When there are confounders, one would like to utilize both oriented edges (when the direction of causality is clear) and edges that are not oriented (when there is a confounder), yielding mixed graphs. A little-studied extension of acyclicity to this mixed-graph setting is known as maximally ancestral graphs. We propose a score-based learning algorithm for learning maximally ancestral graphs. A mixed-integer quadratic program is formulated, and an algorithmic approach is proposed, in which the pre-generation of exponentially many constraints is avoided by generating only violated constraints in the so-called branch-and-cut (``lazy constraint'') method. Comparing the novel approach to the state-of-the-art, we show that the proposed approach turns out to produce more accurate results when applied to small and medium-sized synthetic instances containing up to 25 variables.