



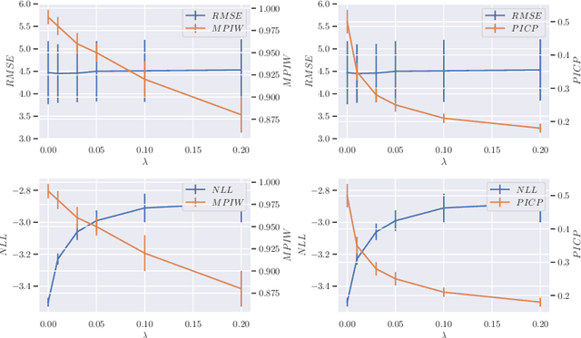
We analyze the epistemic uncertainty (EU) of supervised learning in Bayesian inference by focusing on the excess risk. Existing analysis is limited to the Bayesian setting, which assumes a correct model and exact Bayesian posterior distribution. Thus we cannot apply the existing theory to modern Bayesian algorithms, such as variational inference. To address this, we present a novel EU analysis in the frequentist setting, where data is generated from an unknown distribution. We show a relation between the generalization ability and the widely used EU measurements, such as the variance and entropy of the predictive distribution. Then we show their convergence behaviors theoretically. Finally, we propose new variational inference that directly controls the prediction and EU evaluation performances based on the PAC-Bayesian theory. Numerical experiments show that our algorithm significantly improves the EU evaluation over the existing methods.