



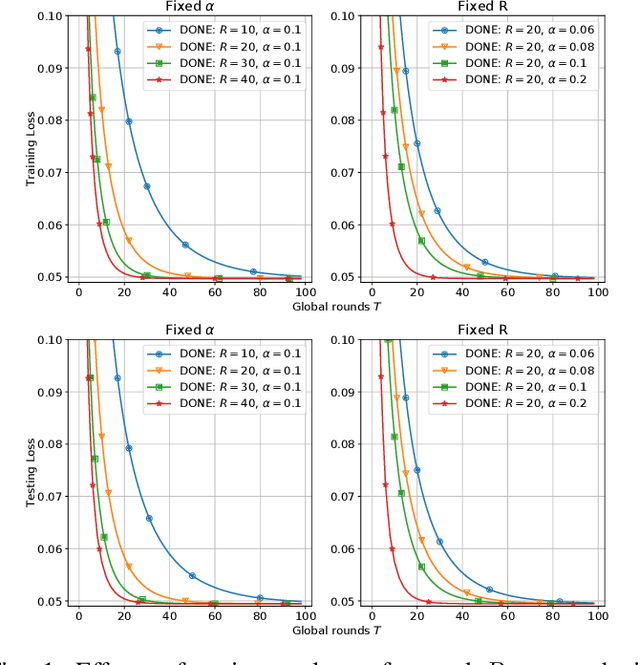
There is growing interest in applying distributed machine learning to edge computing, forming federated edge learning. Federated edge learning faces non-i.i.d and heterogeneous data, and the communication between edge workers, possibly through distant locations and with unstable wireless networks, is more costly than their local computational overhead. Here, we propose DONE, a distributed approximate Newton-type algorithm with fast convergence rate for communication-efficient federated edge learning. First, with strongly convex and smooth loss functions, DONE can approximately produce the Newton direction in a distributed manner by using the classical Richardson iteration on each edge worker. Second, we prove that DONE has linear-quadratic convergence and analyze its computation and communication complexities. Finally, the experimental results with non-i.i.d. and heterogeneous data show that DONE attains comparable performance to the Newton's method. Notably, DONE requires fewer communication iterations compared to distributed gradient descent and outperforms DANE, a similar and state-of-the-art approach, in the case of non-quadratic loss functions.