


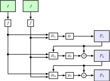
We propose a lightweight neural network model, Deformable Volume Network (Devon) for learning optical flow. Devon benefits from a multi-stage framework to iteratively refine its prediction. Each stage is by itself a neural network with an identical architecture. The optical flow between two stages is propagated with a newly proposed module, the deformable cost volume. The deformable cost volume does not distort the original images or their feature maps and therefore avoids the artifacts associated with warping, a common drawback in previous models. Devon only has one million parameters. Experiments show that Devon achieves comparable results to previous neural network models, despite of its small size.