



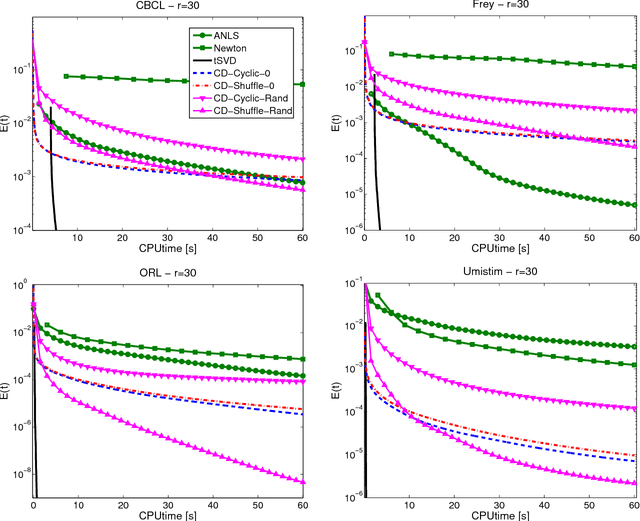
Given a symmetric nonnegative matrix $A$, symmetric nonnegative matrix factorization (symNMF) is the problem of finding a nonnegative matrix $H$, usually with much fewer columns than $A$, such that $A \approx HH^T$. SymNMF can be used for data analysis and in particular for various clustering tasks. In this paper, we propose simple and very efficient coordinate descent schemes to solve this problem, and that can handle large and sparse input matrices. The effectiveness of our methods is illustrated on synthetic and real-world data sets, and we show that they perform favorably compared to recent state-of-the-art methods.