



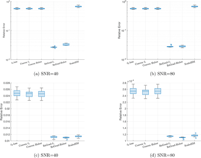
Low-rank matrix estimation under heavy-tailed noise is challenging, both computationally and statistically. Convex approaches have been proven statistically optimal but suffer from high computational costs, especially since robust loss functions are usually non-smooth. More recently, computationally fast non-convex approaches via sub-gradient descent are proposed, which, unfortunately, fail to deliver a statistically consistent estimator even under sub-Gaussian noise. In this paper, we introduce a novel Riemannian sub-gradient (RsGrad) algorithm which is not only computationally efficient with linear convergence but also is statistically optimal, be the noise Gaussian or heavy-tailed. Convergence theory is established for a general framework and specific applications to absolute loss, Huber loss and quantile loss are investigated. Compared with existing non-convex methods, ours reveals a surprising phenomenon of dual-phase convergence. In phase one, RsGrad behaves as in a typical non-smooth optimization that requires gradually decaying stepsizes. However, phase one only delivers a statistically sub-optimal estimator which is already observed in existing literature. Interestingly, during phase two, RsGrad converges linearly as if minimizing a smooth and strongly convex objective function and thus a constant stepsize suffices. Underlying the phase-two convergence is the smoothing effect of random noise to the non-smooth robust losses in an area close but not too close to the truth. Numerical simulations confirm our theoretical discovery and showcase the superiority of RsGrad over prior methods.