



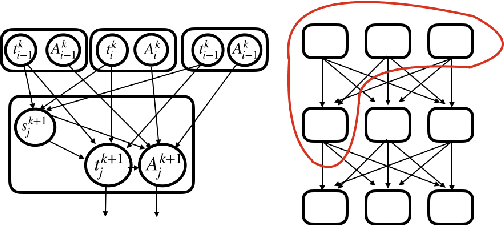
'Capsule' models try to explicitly represent the poses of objects, enforcing a linear relationship between an object's pose and that of its constituent parts. This modelling assumption should lead to robustness to viewpoint changes since the sub-object/super-object relationships are invariant to the poses of the object. We describe a probabilistic generative model which encodes such capsule assumptions, clearly separating the generative parts of the model from the inference mechanisms. With a variational bound we explore the properties of the generative model independently of the approximate inference scheme, and gain insights into failures of the capsule assumptions and inference amortisation. We experimentally demonstrate the applicability of our unified objective, and demonstrate the use of test time optimisation to solve problems inherent to amortised inference in our model.