



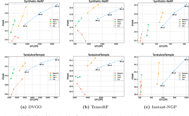
Since the introduction of NeRFs, considerable attention has been focused on improving their training and inference times, leading to the development of Fast-NeRFs models. Despite demonstrating impressive rendering speed and quality, the rapid convergence of such models poses challenges for further improving reconstruction quality. Common strategies to improve rendering quality involves augmenting model parameters or increasing the number of sampled points. However, these computationally intensive approaches encounter limitations in achieving significant quality enhancements. This study introduces a model-agnostic framework inspired by Sparsely-Gated Mixture of Experts to enhance rendering quality without escalating computational complexity. Our approach enables specialization in rendering different scene components by employing a mixture of experts with varying resolutions. We present a novel gate formulation designed to maximize expert capabilities and propose a resolution-based routing technique to effectively induce sparsity and decompose scenes. Our work significantly improves reconstruction quality while maintaining competitive performance.