



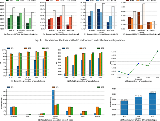
Domain shift poses a significant challenge in Cross-Domain Facial Expression Recognition (CD-FER) due to the distribution variation across different domains. Current works mainly focus on learning domain-invariant features through global feature adaptation, while neglecting the transferability of local features. Additionally, these methods lack discriminative supervision during training on target datasets, resulting in deteriorated feature representation in target domain. To address these limitations, we propose an Adaptive Global-Local Representation Learning and Selection (AGLRLS) framework. The framework incorporates global-local adversarial adaptation and semantic-aware pseudo label generation to enhance the learning of domain-invariant and discriminative feature during training. Meanwhile, a global-local prediction consistency learning is introduced to improve classification results during inference. Specifically, the framework consists of separate global-local adversarial learning modules that learn domain-invariant global and local features independently. We also design a semantic-aware pseudo label generation module, which computes semantic labels based on global and local features. Moreover, a novel dynamic threshold strategy is employed to learn the optimal thresholds by leveraging independent prediction of global and local features, ensuring filtering out the unreliable pseudo labels while retaining reliable ones. These labels are utilized for model optimization through the adversarial learning process in an end-to-end manner. During inference, a global-local prediction consistency module is developed to automatically learn an optimal result from multiple predictions. We conduct comprehensive experiments and analysis based on a fair evaluation benchmark. The results demonstrate that the proposed framework outperforms the current competing methods by a substantial margin.